医院洁净手术部建筑技术规范
编号:GB50333-201313.3 工程检验
13.3.1 工程检验应符合现行国家标准《洁净室施工及验收规范》GB 50591的有关规定。
13.3.2 工程检验的必测项目应符合表13.3.2的规定,风速、风量和静压差应先测,细菌浓度应最后检测。

13.3.3 不得以空气洁净度级别或细菌浓度的单项指标代替综合性能全面评定;不得以工程的调整测试结果代替综合性能全面评定的检验结果。
13.3.4 工程检验和定期检测应以空态或静态为准。任何检验结果都应注明状态。
13.3.5 综合性能全面评定的检测,应按现行国家标准《洁净室施工及验收规范》GB 50591的有关规定执行。
13.3.6 洁净度5级区域地面上1.2m高截面风速的检验应符合下列要求:
1 对Ⅰ级洁净手术室达到5级洁净度的手术区和有局部5级的Ⅰ级洁净辅助用房中达到5级洁净度的区域,应在送风温度稳定后测其地面上1.2m截面平均风速,检测结果不应小于本规范表4.0.1规定的风速范围的平均值,并不应超过上限。截面平均风速应按下式计算:

式中:vi——每个测点的速度(m/s);
k——测点数。
2 应按本规范公式(8.2.3-2)计算地面上1.2m高截面的速度不均匀度β,并应符合本规范第8.2.3条第6款的要求。
3 测点范围应为集中送风面正投影区边界0.12m内的面积,均匀布点,测点平面布置(图13.3.6)测点高度距地1.2m,应无手术台或工作面阻隔,测点间距不应大于0.3m。当有不能移动的阻隔时,应记录在案。
4 检测仪器最小分辨率应能达到0.01m/s,仪器测杆应固定位置,不应手持。每点检测时间不应少于5s,每秒记录1次,取平均值。

13.3.7 Ⅱ级~Ⅳ级手术室送风速度和换气次数的检验应符合下列要求:
1 对Ⅱ、Ⅲ级洁净手术室应测送风面平均风速,测点高度在送风面下方0.1m以内,测点之间距离不应超过0.3m。送风面速度测点断面布置(图13.3.7)最外边测点应在送风口边界内0.05m,均匀布点。送风面各点风速范围应符合本规范第8.2.3条第7款的要求。
2 在达到上述点风速的条件后,换气次数应按下式计算,换气次数检测结果不应小于本规范表4.0.1的规定,不宜超过设计值的15%。

式中:Q——房间送风量(m³/h);
——送风面平均速度(m/s);
F——送风面面积(㎡);
V——房间体积(m³)。
3 对Ⅳ级洁净手术室和洁净辅助用房的分散送风口应通过检测送风口风量换算得出换气次数,检测结果不应小于本规范表4.0.1的规定,不宜超过设计值的15%。对于分散布置的送风口的检测方法应符合现行国家标准《洁净室施工及验收规范》GB 50591的有关规定。
13.3.8 末级过滤器检漏应符合下列要求:
1 每个高效过滤器送风口的过滤器安装边框和滤芯以及送风面内所有缝隙都应检漏。每次更换过滤器后都应重新检漏。
2 非高效过滤器送风口是否检漏以及检漏标准可由甲乙双方商定。
3 检测方法应按现行国家标准《洁净室施工及验收规范》GB 50591的有关规定执行。
13.3.9 手术室严密性的检验应符合下列要求:
1 应在设计的正压或负压下检验。
2 除门缝不测以外,应用发烟管在所有缝隙处发烟,检查有无可见泄漏。
13.3.10 静压差的检验应符合下列要求:
1 在洁净区所有门都关闭的条件下,应从平面上最里面的房间依次向外或从空气洁净度级别最高的房间依次向低级别的房间进行检验,测出静压差合格后还应检测其相邻两间洁净用房的静压差,结果应符合本规范表4.0.1的要求,对于Ⅰ级洁净用房静压差合格后还应检测其开门后门内0.6m处洁净度,并应达标。
2 有不可关闭的开口与邻室相通的洁净室的静压差检测应符合现行国家标准《洁净室施工及验收规范》GB 50591的有关规定。
3 测定高度应距地面0.8m,测孔截面应平行于气流方向,测点应选在无涡流无回风口的位置。检测仪器应为读值分辨率可达到1Pa的微压计。
4 无压差具体数值要求或有气流流向要求的相邻洁净用房之间,应仅用丝线(或发烟)观察流向。
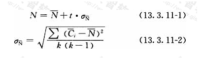
13.3.11 洁净度级别的检验应符合下列要求:
1 洁净手术室和洁净辅助用房洁净度级别的检测,应在系统至少已运行30min,并确认风速、换气次数、检漏和静压差的检测无明显问题之后进行。对大于等于0.5μm和大于等于5μm的微粒,检测结果均应同时满足下列条件:应由各点平均含尘浓度
和室平均浓度
按下式计算出N,并应小于本规范表3.0.3-1和表3.0.3-2中规定级别的上限浓度。

式中: t——单侧分布系数,置信度上限达95%时,应按表13.3.11-1取值。

注:当测点数为9点以上时,N=
。
2 当送风口集中布置时,应对手术区和周边区分别检测,测点数和位置应符合表13.3.11-2的规定,测点数不少于3点;当附近有显著障碍物时,可适当避开;应避开送风口正下方:当送风口分散布置时,应按全室统一布点检测,测点可均布,但不应布置在送风口正下方。

3 每次粒子计数器采样的最小采样量5级区域应为8.6L,以下各级区域应为2.83L。
4 测点布置应在距地面0.8m高的平面上,在手术区检测时应无手术台。当手术台已固定时,台面上测点应高出台面0.25m,并应记录在案。
5 当在5级区域检测时,采样口应对着气流方向;当在其他级别区域检测时,采样口均应向上。
6 当检测含尘浓度时,检测人员不得多于2人,都应穿洁净工作服,处于测点下风向的位置,减少动作。
7 当检测含尘浓度时,除无影灯外,手术室照明灯应全部打开。
13.3.12 温湿度的检测应符合下列要求:
1 室内温湿度测定应为距地面0.8m高的中心点,检测结果应符合本规范表4.0.1的规定。检测仪器为可显示小数后一位的数字式温湿度测量仪。
2 测量值应通过调试达到测定时气象条件下静态能力的极值,如有疑问或建设方有要求,可在动态下或最不利季节复核。
3 测出室内的温湿度之后,应同时测出当天室外温湿度。
13.3.13 噪声的检测应符合下列要求:
1 噪声检测宜在外界干扰较小的晚间进行,以A声级为准。不足15㎡的房间应在室中心测一点,超过15㎡的应在室中心和四角共测5点。洁净手术室测点高度为地上1.5m,其他房间应为地上1.1m。检测结果应符合本规范表4.0.1的规定。检测仪器宜用带倍频程分析仪的声级计。
2 全部噪声测定之后,应关闭净化空调系统测定背景噪声,当背景噪声与室内噪声之差小于10dB时,室内噪声应按常规予以修正。
13.3.14 照度的检测应符合下列要求:
1 照度检测应在光源输出趋于稳定时不开无影灯,无自然采光条件下进行。
2 测点应距地面0.8m,离墙面0.5m,应按间距不超过2m均匀布点,不刻意在灯下或避开灯下选点。各点中最小的照度值应符合本规范表4.0.1的规定,照度均匀度应符合本规范第11.3.1条的规定。
13.3.15 新风量的检测应符合下列要求:
1 新风量的检测应在室外无风或微风条件下进行。
2 通过测定新风口风速或新风管中的风速,应按进风净面积换算成新风量,结果应在室内静压达到标准的前提下,不应低于本规范表4.0.1的规定,并不宜超过设计值的10%。
13.3.16 甲醛、苯和总挥发性有机化合物(TVOC)浓度的检测应符合下列要求:
1 不同级别的手术室抽检数量应至少抽检1间;抽检手术室间数量不得少于手术室总数的10%,不得少于3间,当手术室总数少于3间时,应全数检测;洁净手术部辅助房间中,重症监护室(ICU)、预麻醉室、恢复室、值班室等人员长时间停留的房间应检测,辅助房间抽检数量不得低于辅助房间总数的10%。
2 甲醛、苯和总挥发性有机化合物(TVOC)浓度检测的其余要求和验收标准,应符合现行国家标准《民用建筑工程室内环境污染控制规范》GB 50325的有关规定。
13.3.17 谐波畸变率的检测应符合下列要求:
1 应在本规范第6章规定的所有基本装备及照明均开启状态下进行检测。
2 检测仪器及检测方法应按国家现行标准《电源质量检测设备——通用要求》GB/T 19862、《电能质量 公用电网谐波》GB/T 14549和《电能质量检测分析仪器检定规程》DL/T 1028的要求执行。
3 电压总谐波畸变率和电流总谐波畸变率应符合本规范第11.1.8条的要求。
13.3.18 细菌浓度的检测应符合下列要求:
1 细菌浓度宜在其他项目检测完毕,对全室表面进行常规消毒之后进行。不得进行空气消毒。
2 当送风口集中布置时,应对手术区和周边区分别检测;当送风口分散布置时,应全室统一检测。
3 当采用浮游法测定浮游菌浓度时,细菌浓度测点数应和被测区域的含尘浓度测点点数相同,且宜在同一位置上。每次采样应满足表13.3.18-1规定的最小采样量的要求,每次采样时间不应超过30min。

4 当用沉降法测定沉降菌浓度时,细菌浓度测点数应和被测区域含尘浓度测点数相同,同时应满足表13.3.18-2规定的最少培养皿数的要求。

注:如沉降时间适当延长,则最少培养皿数可以按比例减少,但不得少于含尘浓度的最少测点数。采样时间略低于或高于30min时,可进行换算。
5 采样点可布置在地面上或不高于地面0.8m的任意高度上。
6 细菌浓度检测方法,应有2次空白对照。第1次应对用于检测的培养皿或培养基条做对比试验,每批一个对照皿。第2次是在检测时,应每室或每区1个对照皿,对操作过程做对照试验:模拟操作过程,但培养皿或培养基条打开后应又立即封盖。两次对照结果都应为阴性。整个操作应符合无菌操作的要求。采样后的培养基条或培养皿,应置于37℃条件下培养24h,然后计数生长的菌落数。菌落数的平均值均应四舍五入进位到小数点后1位。
7 当某个皿菌落数太大受到质疑时,应重测;当结果仍很大时,应以两次均值为准;当结果很小时,可再重测或分析判定。
8 布皿和收皿的检测人员应遵守无菌操作的要求。
条文说明
13.3 工程检验
13.3.3 由于使用方通常只注意细菌浓度和洁净度是否达标,而不关心其性能和施工做法。往往运行一段时间后才发现问题(如漏水、漏密封油、漏污染气体、新风突然变小等),可能造成严重后果。所以要特别指出洁净室是多功能的综合整体,空气洁净度或细菌浓度单项指标不能反映洁净室可以投入使用的整体性能;又由于竣工验收主要考查施工质量,综合性能全面评定主要考察设计质量,因此不能互相代替,并且只有竣工验收之后才可进行全面评定。本次修订在必测项目中增加了谐波畸变率、甲醛浓度、苯和TVOC。
实施与检查:
工程竣工后必须进行综合性能全面评定的检验。
以有无合格的检验报告为依据。
13.3.6 关于工作区风速测点高度2002版规范统一定在无手术台遮挡时0.8m高处。因此测定时已有手术台的应搬开手术台,实在搬不开的,可在手术台上方0.25m处布置测点。这样做不易统一且有时不可能实现,此次修订参照德国标准,改为1.2m高处截面,离送风面近了,所以对β的要求也从≤0.25改为≤0.24。为了使运行一段时间后风速仍能在规定范围之内,所以将综合性能评定的结果定在不低于范围的平均值;实际工程中施工方为了安全,把风速取得很高,这是浪费,因此规定不能超过上限,取消了1.2倍的宽限。
13.3.7 换气次数的检测要求。
鉴定验收结果的规定由不超过高限1.2倍此次修订改为不宜超过设计值15%,是考虑到此次参数设有上限,同时设计的洁净室面积和人数均明显和本规范标准不同时,则换气次数也只能用设计值。而上一条的截面风速则无此问题,因为不论面积等有何变化,截面风速都是定值。
13.3.9 实际反映洁净室泄漏严重,致使新风量远远超过标准,造成浪费,泄漏严重的手术室5Pa压差也达不到,或者压差达到了,但洁净度达不到,所以除在本规范第7.3.4条提出严格的密封要求外,本条采用最低标准,即用发烟管检验烟流向,如发现有明显的向烟管内(负压室)或向外(正压室)的流动,则应采取密封措施。没有泄漏时烟流不动。
13.3.11 洁净度级别的检测要求。
1 对系统t只取到9点的值,是参照美国联邦标准209E和ISO14644确定的,因为9点以后实际上N→
。
2 考虑到手术室规划已定,面积相差不大,为了方便工作,所以作出了硬性规定,而并未采用有关标准(包括ISO标准)规定的计算方法,并指定了布置位置,这样可操作性和可比性均较好。
3 本标准没有对等速采样作规定。因为研究已表明,按现在仪器、方法采样,对≥0.5μm微粒的采样误差很小,对5μm微粒的误差也在允许范围内。
最小采样量按现行国家标准《洁净室施工及验收规范》GB 50591的规定采用。
13.3.12 温湿度的检测要求。
温湿度的测定结果只代表所测时间的工况,应同时注明当时的室外温湿度条件。当必须测定夏季或冬季工况的温湿度时,只能在当年最热月或最冷月进行。
13.3.13 由于手术室内医护人员站立工作,其耳部高度约1.5m,所以测点高度改以此为准。其他房间仍在常规坐姿的1.1m高度测定。
13.3.15 新风量的检测要求。
强调计算通风面积时一定要用净面积(如扣除风口百叶叶面面积)。
13.3.18 细菌浓度的检测要求。
浮游法采样细菌时,由于气流以每秒几十米以上的速度从缝隙吹向培养基表面,如果时间太长则易将培养基吹干,微生物死亡,所以美国NASA标准建议采样时间不大于15min。国内一些研究报告指出,有些仪器允许30min,所以本条规定,不应大于30min。