城市消防站建设标准
编号:建标152-2017
颁布时间:2017/3/17
是否常用:是
是否有效:现行有效
分类:特殊场所建筑防火
第三章
规划布局与选址
第十四条
消防站的辖区面积按下列原则确定:
一、设在城市的消防站,一级站不宜大于7k㎡,二级站不宜大于4k㎡,小型站不宜大于2k㎡,设在近郊区的普通站不应大于15k㎡。也可针对城市的火灾风险,通过评估方法确定消防站辖区面积。
二、特勤站兼有辖区灭火救援任务的,其辖区面积同一级站。
三、战勤保障站不宜单独划分辖区面积。
第十五条
消防站的选址应符合下列规定:
一、应设在辖区内适中位置和便于车辆迅速出动的临街地段,并应尽量靠近城市应急救援通道。
二、消防站执勤车辆主出入口两侧宜设置交通信号灯、标志、标线等设施,距医院、学校、幼儿园、托儿所、影剧院、商场、体育场馆、展览馆等公共建筑的主要疏散出口不应小于50m。
三、辖区内有生产、贮存危险化学品单位的,消防站应设置在常年主导风向的上风或侧风处,其边界距上述危险部位一般不宜小于300m。
四、消防站车库门应朝向城市道路,后退红线不宜小于15m,合建的小型站除外。
第十六条
消防站不宜设在综合性建筑物中。特殊情况下,设在综合性建筑物中的消防站应自成一区,并有专用出入口。
第十七条
各类消防站的建设用地应根据建筑要求和节约用地的原则确定。建筑宜为低层或多层,容积率宜为0.5~0.6,绿地率应符合当地城市规划行政部门的相关规定,机动车停车应符合当地城市行政管理部门的相关规定。小型消防站容积率可取0.8~0.9,如绿化用地难以保证时,容积率宜控制在1.0~1.1。在条件许可的情况下,本建设标准中的容积率宜优先选取下限值。
第十八条
消防站建设用地应能满足业务训练的需要。对建设用地紧张且难以达到标准的城市,可结合本地实际,集中建设训练场地或训练基地,以保障消防员开展正常的业务训练。
条文说明
第三章 规划布局与选址
第十三条
本条提出的是消防站布局应当遵循的一般原则,是按照接到出动指令后5min内消防队可以到达辖区边缘的要求确定的。
5min时间是由15min消防时间得来的。根据火灾发展过程一般可以分为初起、发展、猛烈、下降和熄灭五个阶段,以一般固体可燃物着火后,在15min内火灾具有燃烧面积不大、火焰不高、辐射热不强、烟和气体流动缓慢、燃烧速度不快等特点,房屋建筑火灾15min内尚属于初起阶段。如果消防队能在火灾发生的15min内开展灭火战斗,将有利于控制和扑救火灾,否则火势将迅速蔓延,造成严重的损失。
15min的消防时间分配为:发现起火4min、报警和指挥中心处警2.5min、接到指令出动1min、行车到场4min、开始出水扑救3.5min。
从国外一些资料来看,美国、英国的消防部门接到指令出动和行车到场时间也在5min左右,日本规定为4min,也基本与我国规定的5min原则吻合。
所以,综合考虑我国各城市的实际情况,以消防队从接到出动指令起5min内到达辖区最远点为城市消防站布局的一般原则,是较为合适的。
第十四条
本条规定了各类消防站的辖区面积。它是根据消防车到达辖区最远点的距离、消防车时速和道路情况综合确定的。根据对北京、上海、沈阳、广州、武汉、重庆等23个城市实际测试结果,并考虑我国城市道路的实际状况,按消防站辖区面积计算公式确定辖区面积。
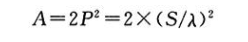
消防站辖区面积计算公式:

式中:A——消防站辖区面积(k㎡);
P——消防站至辖区最远点的直线距离,即消防站保护半径(km);
S——消防站至辖区边缘最远点的实际距离,即消防车4min的最远行驶路程(km);
λ——道路曲度系数,即两点间实际交通距离与直线距离之比,通常取1.3~1.5。
按照公式计算,根据上海、内蒙古的部分城市在不同时段消防车的实际行车测试,并考虑到我国城市道路系统大多是方格式或自由式的形式,得出消防车平均时速为30km~35km,道路曲度系数取1.3~1.5,得出消防站辖区在3.56k㎡~6.28k㎡之间,即4k㎡~7k㎡。
近年来,虽然我国的道路交通情况有所改善,但同时路上行驶的车辆也相应增加,致使消防车车速难以提高。所以,综合我国目前的实际情况,并考虑消防站的分类,确定作为保卫城市消防安全主要力量的一级站的辖区面积不宜大于7k㎡,兼有辖区消防任务的特勤站辖区保护面积同一级站,同一辖区内一般不再另设一级站。城市建成区内由于设置一级站确有困难而建设二级站的,其辖区面积不宜大于4k㎡。
小型站装备配备、人员配备有限,主要解决快速出动、快速响应要求。由于小型站多位于城市中心区,鉴于消防车平均时速更加缓慢的实际情况,所以辖区面积不能太大,要小于二级站的辖区面积,定为2k㎡。现阶段区域风险评估方法和消防站布局规划评估方法已相对成熟,较多地区已经开展了这项工作,未来消防站的布局应以响应时间作为第一核心指标,应逐步推动我国消防站布局从“面积确定法”向“响应时间确定法”过渡。
城市近郊区是指城市行政管辖的郊区或根据城市规划需要扩大的郊区,近郊区以及城市行政区域内其他因城市建设和发展需要实行规划控制区域的普通站辖区面积,基于以下考虑:
1.根据现行国家标准《城市道路交通规划设计规范》GB
50220的规定,在城市郊区和市郊接合部的快速路的设计行车速度一般不低于60km/h,综合考虑实际状况,按照60km/h的消防车车速计算,道路曲度系数取1.5,得出辖区面积约为15k㎡。
2.统计分析了上海市近年来8月~10月的公路网行车平均速度,在综合考虑交通状况下,得出消防车在近郊区的平均行车速度为55km/h,4min的最远行驶路程为3.67km,辖区面积应为15.9k㎡。
3.经走访上海、贵州、湖北、广西、内蒙古、吉林等6个总队的基层单位,认为近郊区消防站的辖区面积应考虑适当放宽,建议将近郊区等消防站的辖区面积确定为15k㎡左右。
综上所述,将近郊区的消防站辖区面积确定为不大于15k㎡。
针对城市的火灾风险,通过风险评估确定消防站的辖区范围是当今国内外消防站规划布局的一种新方法。主要考虑如下:
1.英、美、德等发达国家,针对火灾风险的不同,确定不同的消防车行车到场时间,结合规划区内交通道路、行车速度、地形地貌、消防站布局现状以及当地经济发展等因素,通过风险评估提供优化方案,为确定消防站的数量、位置和辖区范围提供依据。
2.我国在“十五”期间就开始了对城市火灾风险评估和消防应急救援能力的优化方法研究,研究成果已经在厦门、杭州、无锡等地进行了实际应用,并取得了较好的效果。
因此,有条件的城市也可针对城市的火灾风险,通过评估方法合理确定消防站保护面积。
战勤保障站主要承担本城市范围内灭火救援的应急保障任务,消防车辆配备和物资储备与保障任务相匹配。为强化战勤保障站的保障功能,战勤保障站不宜单独划分辖区面积。
第十五条
本条规定了消防站的选址条件。
一、本款主要考虑三个方面的要求。首先,消防站设在辖区内适中位置是为了当辖区最远点发生火灾时,消防队能够迅速赶到现场,及早进行扑救;其次,消防站设在临街地段,是为了保证消防队在接到出动指令后,能够迅速安全地出动;第三,消防站尽量布置在城市应急救援通道上,有利于其出警发挥作用。
二、本款规定消防站执勤车辆主出入口两侧应设置可控交通信号灯、标志、标线等,提前警示驾驶员,保障快速、安全出警。消防站执勤车辆主出入口距人员密集的公共场所不应小于50m,主要是为在接警出动和训练时不致影响医院、学校、幼儿园、托儿所等单位的正常活动,避免因发出警报引起惊慌造成事故。同时,也是为了防止人流集中时影响消防车迅速安全地出动,贻误灭火救援战机。
三、本款规定消防站应处于生产、贮存危险化学品单位上风向或侧风向,且距离危险部位不宜小于300m,主要是为了保障消防站的安全和消防员的健康。事实上,以前曾发生过因辖区内危险化学品发生事故,从而造成消防队员中毒受伤的情况。天津港“8·12”瑞海公司危险品仓库特别重大火灾爆炸事故和漳州古雷“4·6”爆炸着火事故,位于园区附近的消防站都受到了爆炸影响,故此次修订将消防站距危险部位的距离调整为300m。
四、根据现行国家标准《汽车、挂车及汽车列车外廓尺寸、轴荷及质量限值》GB
1589的规定,我国汽车、挂车外廓尺寸的最大限值车身最长为18m,考虑到近年来我国的消防车辆种类和质量都发生了较大的变化,大型消防车车长已达到15.9m,又通过对上海近十年建造的消防站的调研,其车库门至道路红线距离均不小于15m,且实际使用效果较好。因此,将后退红线距离定为不宜小于15m,以保证出车时视线良好,便于消防车迅速出动和回车时有一定的倒车场地,不致影响行人和车辆的交通安全。鉴于合建的小型站利用已有的建筑,很难满足15m后退红线的要求,故不做硬性规定。
第十六条
本条主要考虑消防站作为灭火救援执勤备战单位,日常消防员的执勤、训练、学习、生活都应该相对独立,不受干扰,所以规定消防站不宜设在综合性建筑物中,特殊情况下需要设在综合性建筑物中的消防站,必须自成一区,并有专用的出入口,确保消防站人员、车辆出动的安全、迅速。
第十七条
本条明确了消防站建设用地的确定原则及建筑高度和容积率。
对于消防站建筑宜为低层或多层的规定,主要是为满足消防队灭火救援使用功能需要,建筑楼层低有利于消防队接警后快速出动。
本次修订按有关要求将原建设标准中的消防站建设用地面积指标改为容积率,其具体指标的确定综合考虑了典型消防站建筑调查数据、有关工程技术规范和建设标准对同类低层或多层建筑容积率的规定,以及消防站内绿化和停车用地的需求。通过分析测算,消防站容积率宜控制在0.5~0.6,对于小型消防站,充分考虑大城市用地紧张的现实情况,容积率宜控制在0.8~0.9,当绿化用地难以保证时,宜控制在1.0~1.1。
消防站的建设用地面积指标是消防站规划建设的重要指标,各地在确定消防站建设用地面积时,可采用容积率进行折算。折算后的消防站建设用地包括消防站的房屋建筑用地面积和室外训练场地、消防车回车场地、消防车出入消防站和训练场地的道路、自装卸模块堆放场等满足消防站使用功能需要的基本功能建设用地面积,以及绿化和车道等非基本功能建设用地。由于各地绿地率的规定不尽相同,各地在确定消防站建设用地时,可根据当地的有关规定执行,但必须要保证基本功能建设用地面积。本条中消防站的容积率是按照绿地率20%来估算的,如当地城市规划行政部门对绿地率的要求超过20%,容积率可相应降低。
对于各类消防站基本功能建设用地面积指标,2011版标准给出了明确规定,此次修订中,对新增的小型消防站建设用地面积进行了调研和测定。考虑到建设小型站的主要原因是大城市用地紧张,因此,在测定小型站用地面积时,仅考虑执勤备战所需的最基本用房的占地面积和基本室外场地面积,其中,基本用房的占地面积主要考虑了车库、通信室、配电室、锅炉房等用房及楼梯间等需要设置在首层的建筑。室外场地主要考虑了小型消防站必需的回车场地,以及日常消防车辆与装备器材在室外场地上进行清点检查、维护保养等的需求。
下表给出了满足消防站使用功能需要的基本功能建设用地面积指标,该指标不包括绿化和车道等非基本功能建设用地,各地在消防站规划建设时可参照执行。

本建设标准所列建设用地为建设净用地面积(不包含代征地面积)。
第十八条
特大城市在建设消防站时,因建设用地困难,达不到本建设标准规定的用地面积要求,无法满足消防人员开展日常训练的需求时,可选择消防站相对集中的区域,立足一个较大的消防站建设训练场地或专门建设用于消防业务训练和模拟实战演练的城市消防训练基地。
此外,根据《国务院办公厅关于加强基层应急队伍建设的意见》(国办发[2009]59号)的要求,对于建设在县级城市的消防站,可适当增加消防站训练场地面积,以满足本地综合性应急救援队伍集中训练和培训的需要,更好地承担综合性应急救援任务。