二氧化碳灭火系统设计规范(2010版)
编号:GB50193-93
颁布时间:1994/8/1
是否常用:是
是否有效:现行有效
分类:消防设施
4
管网计算
4.0.1
二氧化碳灭火系统按灭火剂储存方式可分为高压系统和低压系统。管网起点计算压力(绝对压力);高压系统应取5.17MPa,低压系统应取2.07MPa。
4.0.2
管网中干管的设计流量应按下式计算:

式中 :Q——管道的设计流量(kg/min)。
4.0.3
管网中支管的设计流量应按下式计算:

式中Ng——安装在计算支管流程下游的喷头数量;
Qi ——单个喷头的设计流量(kg/min)。
4.0.3A 管道内径可按下式计算:

式中
D----管道内径(mm);
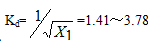
Kd----管径系数,取值范围1.41~3.78。
4.0.4
管段的计算长度应为管道的实际长度与管道附件当量长度之和。管道附件的当量长度应采用经国家相关检测机构认可的数据;当无相关认证数据时,可按本规范附录B采用。
4.0.5 管道压力降可按下式换算或按本规范附录C 采用。

式中
D——管道内径(mm);
L——管段计算长度(m)
Y——压力系数(MPa·kg/m3);应按本规范附录D采用;
Z——密度系数,应按本规范附录D
采用。
4.0.6 管道内流程高度所引起的压力校正值,可按本规范附录E
采用,并应计入该管段的终点压力。终点高度低于起点的取正值,终点高度高于起点的取负值。
4.0.7
喷头入口压力(绝对压力)计算值:高压系数不应小于1.4MPa,低压系统不应小于1.0MPa。
4.0.7A
低压系统获得均相流的延迟时间,对全淹灭火系统和局部应用灭火系统分别不应大于60s 和30s。其延迟时间可按下式计算:

式中 td——延迟时间(s);
Mg——管道质量(kg);
Cp——管道金属材料的比热[kJ/(kg·℃)];钢管可取0.46kJ/(kg·℃);
T1 ——二氧化碳喷射前管道的平均温度(℃);可取环境平均温度;
T2——二氧化碳平均温度(℃);取-20.6℃;
Vd——管道容积(m3)。
4.0.8
喷头等效孔口面积应按下式计算:

式中
F——喷头等效孔口面积(mm2);
q0——单位等效孔口面积的喷射率[kg/(min·mm2 )],按本规范附录 F 选取。
4.0.9 喷头规格应根据等效孔口面积确定,可按本规范附录 H
的规定取值。
4.0.9A
二氧化碳储存量可按下式计算:

式中 Mc
——二氧化碳储存量(kg);
Km
——裕度系数;对全淹没系统取1;对局部应用系数;高压系统取1.4,低压系统取1.1;
Mv——二氧化碳在管道中的蒸发量(kg);高压全淹没系统取0值;
T2
——二氧化碳平均温度(℃),高压系统取15.6℃,低压系统取-20.6℃;
H——二氧化碳蒸发潜热(kJ/kg);高压系统取150.7kJ/kg,低压系统取276.3kJ/kg;
Ms——储存容器内的二氧化碳剩余量(kg);
Mr——管道内的二氧化碳剩余量(kg);高压系统取0值;
Vi——管网内第 i
段管道的容积(m3);
ρi——第 i
段管道内二氧化碳平均密度(kg/m3);
Pi——第 i
段管道内的平均压力(MPa);
Pj-1——第 i 段管道首端的节点压力(MPa);
Pj——第 i 段管道末端的节点压力(MPa)。
4.0.10
高压系统储存容器数量可按下式计算:

式中
Np ——高压系统储存容量数量;
α——充装系数(kg/L);
V0——单个储存容器的容积(L)。
4.0.11
低压系数储存容器的规格可依据二氧化碳储存量确定。
条文说明
4
管网计算
4.0.1
原条文规定的管网计算的总原则,已通过后续条文体现。所以删除。本条文新增内容规定指出了二氧化碳灭火系统按灭火剂储存方式的分类,及管网起点计算压力的取值。这和ISO
6183的观点是一致的。国际标准采用了平均储存压力的概念,经征求意见,这里改称为管网起点计算压力。
应该注意:这里所说管网起点是指引升管的下端。
4.0.2、4.0.3
这两条规定了计算管道流量的方法,为管网计算提供出管道流量的数据。
仍需指出:计算流量的方法应灵活使用,如对局部应用的面积法,也可先求出支管流量,然后由支管流量相加得干管流量。又如全淹没系统的管网,可按总流量的比例分配支管流量,如对称分配的支管流量即为总流量的1/2。
4.0.3A 本条规定了管道内径的确定方法。所给公式依据附录C得出:设Q/D2=X1 则

因为X1= 0.07~0.50 所以

4.0.4
不同制造商生产的产品及其附件的水力当量长度不尽相同,均按本规范附件B确定管道附件的当量长度与实际情况略有差异。故首先应采用制造商提供的经国家相关检测机构检测认可的数据。
4.0.5 本条等效采用了国际标准和国外先进标准。ISO 6183、NFPA 12和BS 5306都作了同样规定。
我国通过作灭油浸变压器火中间试验验证了这种方法,故等效采用。
4.0.6
正常敷管坡度引起的管段两端的水头差是可以忽略的,但对管段两端显著高程差所引起的水头是不能忽略的,应计入管段终点压力。水头是高度和密度的函数,二氧化碳的密度是随压力变化的,在计算水头时,应取管段两端压力的平均值。水头是重力作用的结果,方向永远向下,所以当二氧化碳向上流动时应减去该水头,当向下流动时应加上该水头。
本条规定是参照国际标准和国外先进标准制定,其中附录E系等效采用了ISO 6183中的表B6。
执行这一条时应注意两点:管段平均压力是管段两端压力的平均值;高程是管段两端的高度差(位差),不是管段的长度。
4.0.7
本规定等效采用ISO 6183,并经试验验证。
ISO
6183指出:对高压系统,喷嘴入口最低压力应为1.4MPa;对低压系统,喷嘴入口最低压力。
4.0.7A
本条规定等效采用ISO 6183规定。
4.0.9 本条规定等效采用ISO 6183和NFPA
12制定。附录F中的单位等效孔口面积的喷射率是标准喷头(流量系数为0.98)的参数,为进一步强调标准喷头不同于一般喷头,故列出标准喷头的规格。本条新增加的附录H取自NFPA
12。
4.0.9A 本条依据ISO 6183和BS
5306:pt4给出了二氧化碳储存量计算通用公式。综合了以下四种情况:
1 高压全淹没灭火系统
因为
Km=1 Mv=0 Mr=0
所以
Mc=M+Ms
即高压全淹没灭火系统的储存量等于设计用量与储存容器内的二氧化碳剩余量之和。其中储存容器内的二氧化碳剩余量按储存容器生产厂家产品数据取值。
2
高压局部应用灭火系统
因为 Km=1.4 Mr=0
所以
Mc=1.4M+ Mv
+Ms
即高压局部应用灭火系统的储存量等于1.4倍设计用量、二氧化碳在管道中的蒸发量、储存容器内的二氧化碳剩余量之和。其中1.4倍是为保证夜相喷射的裕度系数值。是等效采用ISO
6183规定,并经试验验证。
3 低压全淹没灭火系统
因为 Km=1
所以
Mc=1.1M+ Mv +Ms+ Mr
即低压局部应用灭火系统的储存量等于1.1倍设计用量、二氧化碳在管道中的蒸发量、储存容器内的二氧化碳剩余量、管道内的二氧化碳剩余量之和。其中1.1倍是为保证液相喷射的裕度系数值。
应该指出:对低压系统,在储存量中计及管道内的二氧化碳剩余量是依据ISO 6183和BS
5306:pt4制定。BS5306:pt4指出:对低压装置,在完成喷射滞后,残存在储存容器与喷嘴管网之间的管道内的液态二氧化碳量也应予以计算,并加入所要求的二氧化碳总量之中。但是,ISO
6183和国外标准均没给出管道内的二氧花坛剩余量Mr的计算式。这里给出的Mr计算式是基于以下认识:假定是低压灭火系统,喷放时间t后关闭容器阀,这是储存容器内的二氧化碳剩余量大于或等于Ms;那么残存在储存容器与喷头之间管道内的二氧化碳剩余量 Mr的计算式就应该是公式4.0.9A-3。而公式4.0.9A-5是依据附表E-2导出:因为Kh=ρi·g·10-6,所以ρi=106·Kh/9.81,而Kh=f(Pi)解析式由附表E-2回归求得,其最大相对误差为max(δ)
=f(Pi=1.10)=0.66%。
4.0.10
这里考虑到不同规格储存容器和不同充装系数,给出了确定高压系统储存容器数量的通用公式,其中充装系数应按本规范5.1.1条规定取值。
4.0.11
储存液化气体的压力容器的容积可以根据饱和液体密度、设计储存量和装量系数通过计算确定。就低压系统二氧化碳储存容器而言,计算工作已由生产厂家完成。在各生产厂家的产品样本中,直接给出了不同规格储存容器的最大充装量。