干粉灭火系统设计规范
编号:GB50347-2004
颁布时间:2004/11/1
是否常用:是
是否有效:现行有效
分类:消防设施
3.2 全淹没灭火系统
3.2.1 全淹没灭火系统的灭火剂设计浓度不得小于0.65kg/m³。3.2.2 灭火剂设计用量应按下列公式计算:
式中:m ——干粉设计用量(kg);K1——灭火剂设计浓度(kg/m³);
V ——防护区净容积(m³);
Koi——开口补偿系数(kg/m²);
Aoi——不能自动关闭的防护区开口面积(㎡);
Vv ——防护区容积(m³);
Vg ——防护区内不燃烧体和难燃烧体的总体积(m³);
Vz ——不能切断的通风系统的附加体积(m³);
Qz ——通风流量(m³/s);
t ——干粉喷射时间(s);
Av ——防护区的内侧面、底面、顶面(包括其中开口)的总内表面积(㎡)。
3.2.3 全淹没灭火系统的干粉喷射时间不应大于30s。
3.2.4 全淹没灭火系统喷头布置,应使防护区内灭火剂分布均匀。
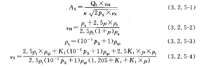
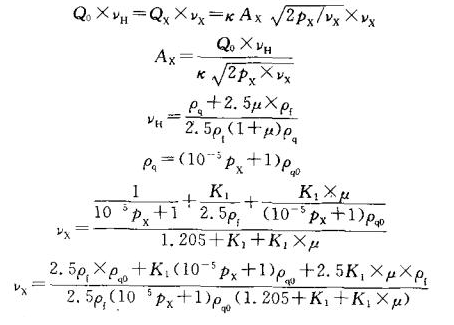
3.2.5 防护区应设泄压口,并宜设在外墙上,其高度应大于防护区净高的2/3。泄压口的面积可按下列公式计算:

式中:Ax ——泄压口面积(㎡);
Qo ——干管的干粉输送速率(kg/s);
vh ——气固二相流比容(m³/kg);
k ——泄压口缩流系数;取0.6;
Px ——防护区围护结构的允许压力(Pa);
Vx ——泄放混合物比容(m³/kg);
ρq——在Px压力下驱动气体密度(kg/m³) ;
μ ——驱动气体系数;按产品样本取值;
ρf——干粉灭火剂松密度(kg/m³);按产品样本取值;
ρqo——常态下驱动气体密度(kg/m³)。
条文说明
3.2 全淹没灭火系统3.2.1 全淹没灭火系统灭火剂设计浓度最小值取值等效采用《室内灭火装置和设备·干粉系统规范》BS 5306 :pt7-1988 § 15.2和《固定式灭火系统·干粉系统·pt2 :设计、安装与维护》EN 12416-2 : 2001 § 10.2数据,因为我国干粉灭火剂标准规定的灭火效能不低于《非D类干粉灭火剂技术条件》BS EN 615—1995规定。另外,我国标准《碳酸氢钠干粉灭火剂》GB 4066和《磷酸铵盐干粉灭火剂》GB 15060分别要求碳酸氢钠干粉和磷酸铵盐干粉扑灭BC类火灾时,灭火效能相同。综合以上数据并考虑到多种火灾并存情况,本规范确定全淹没灭火系统灭火剂设计浓度不得小于0.65 kg/m³。
3.2.2 本条系等效采用《室内灭火装置和设备·干粉系统规范》BS 5306 :pt7-1988 § 15.2和《固定式灭火系统·干粉系统·pt2:设计、安装与维护》EN 12416-2 : 2001 § 10.2规定。
3.2.3 本条系等效采用《室内灭火装置和设备·干粉系统规范》BS 5306 : pt7-1988 § 15.3和《固定式灭火系统·干粉系统·pt2 :设计、安装与维护》EN 12416-2 :2001 § 10.3规定。
3.2.4 本条规定可有效利用灭火剂,减少系统响应时间,达到快速灭火目的。
3.2.5 国外标准仅《室内灭火装置和设备·干粉系统规范》BS 5306 : pt7-1988 § 15.2提到泄压口,但没给出计算式。为避免防护区内超压导致围护结构破坏,应该设置泄压口;考虑到干粉灭火系统与气体灭火系统存在相似性,本条参照采用《二氧化碳灭火系统设计规范》GB 50193-93(1999年版)第3.2.6条制定。
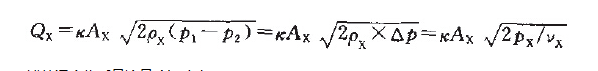
公式3.2.5 是参考《二氧化碳灭火系统规范》AS 4214.3 -1995 § 4导出。设:防护区内部压力为P1,防护区外部压力为P2,泄压口面积为Ax,泄放混合物质量流量为Qx,如图1:
则有薄壁孔口流量公式:
式中:Qx ——泄放混合物质量流量(kg/s);K ——泄压口缩流系数;窗式开口取0.5~0.7;
Ax ——泄压口面积(㎡);
ρx ——泄放混合物密度(kg/m³);
Px ——防护区围护结构的允许压力(Pa);
vx ——泄放混合物比容(m³/kg)。
泄压过程中有防护区内气体被置换过程;为使问题简化,根据从泄压口泄放混合物体积流量等于喷入防护区气-固二相流体积流量数量关系,干粉真实密度ρs= 2.5ρf,防护区内常态空气密度为1.205(kg/m³),则有:

应该指出:当防护区门窗缝隙、不可关闭开口及防爆泄压口面积总和不小于按公式3.2.5-1计算值时,可不再另设置泄压口。