内容

4.3 库房的保温隔热

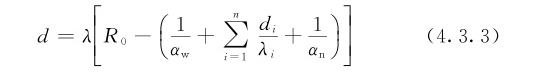
4.3.1 库房的保温隔热材料应根据下列条件选择:    1 导热系数小;    2 对食品无污染且低温化学性能稳定;    3 尺寸稳定性好;    4 用于地面、楼面时,其抗压强度不小于0.25MPa。4.3.2 保温隔热材料的燃烧性能应符合下列规定:    1 冷库库房采用金属面绝热夹芯板等轻质复合夹芯板做保温隔热围护时,夹芯板芯材的燃烧性能不应低于B1级,且B1级芯材应为热固性材料。    2 建筑外围护结构的外墙及顶棚采用内保温隔热系统时,保温隔热材料的燃烧性能不应低于B1级。隔热材料表面应采用不燃性材料做保护层。4.3.3 围护结构保温隔热材料的厚度应按下式计算: 式中:
    d——保温隔热材料的厚度(m);    λ——保温隔热材料的导热系数[W/(m·℃)];
    R0——围护结构总热阻(㎡·℃/W);    aw——围护结构外表面换热系数[W/(㎡·℃)];    an——围护结构内表面换热系数[W/(㎡·℃)];
    di——围护结构除保温隔热层外第i层材料的厚度(m);    λi——围护结构除保温隔热层外第i层材料的导热系数[W/(m·℃)]。4.3.4 冷库保温隔热材料设计采用的导热系数值应按下式计算确定:λ=λ'·b    (4.3.4)    式中:
    λ——设计采用的导热系数[W/(m·℃)];    λ'—导热系数测定值[W/(m·℃]    b——导热系数的修正系数,宜按表4.3.4的规定采用。 注:1 块状保温隔热材料不应采用含水黏结材料黏结。加气混凝土、水泥膨胀珍珠岩的修正系数,应为经过烘干的块状材料并用不含水黏结材料贴铺、砌筑的数值。    2 对于装配式冷库的轻质复合夹芯板材料,应按照产品性能及安装构造确定。4.3.5 冷间外墙、屋面或顶棚设计采用的室内外两侧温度差△t,应按下式计算确定:△t=△t'·a    (4.3.5)    式中:
    △t——设计采用的室内外两侧温度差(℃);
    △t'——夏季空气调节室外计算日平均温度与室内温度差(℃);
    a——围护结构两侧温度差修正系数,可按表4.3.5的规定采用。    注:1 D值为围护结构的热惰性指标,可从相关材料、热工手册中查得选用。    2 设计温度低于0℃的控温穿堂或站台的a值可按冻结物冷藏间确定。    3 表内未列的其他室温大于或等于0℃的冷间可参照各项中冷却间的a值选用。4.3.6 冷间外墙、屋面或顶棚的总热阻根据设计采用的室内外两侧温度差△t值,可按表4.3.6的规定选用。严寒地区冷间设计温度高于0℃时,还应采用冬季空气调节室外计算温度进行验算。4.3.7 冷间隔墙总热阻可根据镉墙两侧设计室温接表4.3.7的规定选用。注:隔墙总热阻已考虑生产中的温度波动因素。4.3.8 冷间楼面总热阻可根据楼板上、下冷间设计温度差按表4.3.8的规定选用。  注:1 楼板总热阻已考虑生产中温度波动因素。    2 当冷却物冷藏间楼板下为冻结物冷藏间时,楼板热阻不宜小于4.08㎡·℃/W。4.3.9 直接铺设在土壤上的冷间地面总热阻可根据冷间设计温度按表4.3.9的规定选用。4.3.10 铺设在架空层上的冷间地面最小总热阻应符合表4.3.10的规定。4.3.11 库房围护结构外表面、内表面换热系数(aw、an)和热阻(Rw、Rn)应按表4.3.11的规定选用。 注:地面下为通风加热管道和直接铺设于土壤上的地面以及半地下室外墙埋入地下的部位,外表面换热系数均可不计。4.3.12 相邻同温冷间的隔墙及上、下相邻两层为同温冷间之间的楼板可不设保温隔热层。4.3.13 当冷库底层冷间设计温度低于0℃时,地面应采取防止冻胀的措施;当地面下为岩层时,可不做防止冻胀处理。4.3.14 冷库底层冷间设计温度大于或等于0℃时,地面可不做防止冻胀处理,但应仍设置相应的保温隔热层。在空气冷却器基座下部及其周边1m范围内的地面总热阻R0不应小于3.18㎡·℃/W。4.3.15 冷库屋面及外墙装饰面层宜涂白色或浅色。

条文说明
4.3.1 本条规定了库房的保温隔热材料的一般物理性能。4.3.2 根据国内、国际保温材料现状,目前用于冷库围护的轻质复合夹芯板非承重墙体不可能完全采用不燃烧材料,按照现行国家标准《建筑设计防火规范》GB50016的有关要求,也无法满足一级、二级耐火等级建筑的墙体构件要求。基于冷库建筑的特点、综合经济因素及冷库安全设计和管理的要求,本条对保温隔热材料的燃烧性能做出了规定。本标准中的轻质复合夹芯板均包括金属面绝热夹芯板。    内保温隔热系统所用的保温隔热材料既可以是装配预制板材,也可以由现场发泡形成。4.3.4 由于不同材质、同一材料不同的密度及其使用环境和使用时间期限不同,都会造成保温隔热性能的变化,因此材料导热系数应按照实际产品的具体测定值,结合具体情况调整修正系数。4.3.6 严寒地区冷间设计温度高于0℃时,不仅要考虑夏季室外温度对冷间温度的影响,还要考虑冬季冷间温度的保持。4.3.10 考虑到通风架空层受环境温度影响较大,本条只对铺设在通风架空层上的冷间地面(或结构楼面)最小总热阻做了限定。4.3.15 本条规定建筑外表面装饰面层的颜色,主要是利用它的反射来散热,利于夏季阳光照射下的库内温度保持。