泡沫灭火系统技术标准
编号:GB50151-20211 当单组变压器的额定容量大于600MV?A 时,宜采用由泡沫消防水泵通过比例混合装置输送泡沫混合液经离心雾化型水雾喷头喷洒泡沫的形式;
2 当单组变压器的额定容量不大于600MV?A时,可采用由压缩氮气驱动储罐内的泡沫液经离心雾化型水雾喷头喷洒泡沫的形式。
6.4.2 当泡沫喷雾系统设置比例混合装置时,应选用3%型水成膜泡沫液;当系统采用由压缩氮气驱动形式时,应选用100%型水成膜泡沫液;泡沫液的抗烧水平不应低于C级。 6.4.3 当保护油浸电力变压器时,泡沫喷雾系统设计应符合下列规定:
1 保护面积应按变压器油箱的水平投影且四周外延1m计算确定;
2 系统的供给强度不应小于8L/(min?㎡);
3 对于变压器套管插入直流阀厅布置的换流站,系统应增设流量不低于48L/s可远程控制的高架泡沫炮,且系统的泡沫混合液设计流量应增加一台泡沫炮的流量;
4 喷头的设置应使泡沫覆盖变压器油箱顶面,且每个变压器进出线绝缘套管升高座孔口应设置单独的喷头保护;
5 保护绝缘套管升高座孔口喷头的雾化角宜为60°,其他喷头的雾化角不应大于90°;
6 当系统设置比例混合装置时,系统的连续供给时间不应小于30min ;当采用由压缩氮气驱动形式时,系统的连续供给时间不应小于15min。
6.4.4 当保护非水溶性液体室内场所时,泡沫混合液供给强度不应小于6.5L/ (min?㎡),连续供给时间不应小于10min。泡沫喷雾系统喷头的布置应符合下列规定:
1 保护面积内的泡沫混合液供给强度应均匀;
2 泡沫应直接喷洒到保护对象上;
3 喷头周围不应有影响泡沫喷洒的障碍物。
6.4.5 喷头应带过滤器,工作压力不应小于其额定压力,且不宜高于其额定压力0.1MPa。6.4.6 泡沫喷雾系统喷头、管道与电气设备带电(裸露)部分的安全净距应符合国家现行有关标准的规定。
6.4.7 泡沫喷雾系统应具备自动、手动和应急机械手动启动方式。在自动控制状态下,灭火系统的响应时间不应大于60s。6.4.8 与泡沫喷雾系统联动的火灾自动报警系统的设计除应符合现行国家标准《火灾自动报警系统设计规范》GB 50116的有关规定外,尚应符合下列规定:
1 当系统误动作会对保护对象造成不利影响时,应采用两个独立火灾探测器的报警信号进行联动控制;
2 当保护油浸电力变压器的系统采用两路相同的火灾探测器时,系统宜采用火灾探测器的报警信号和变压器的断路器信号进行联动控制。
6.4.9 湿式管道应选用不锈钢管,干式供液管道可选用热镀锌钢管,盛装100%型水成膜泡沫液的压力储罐应采用奥氏体不锈钢材料。6.4.10 当动力源采用压缩氮气时,应符合下列规定:
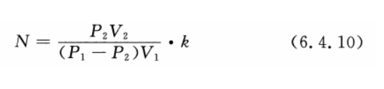
1 系统所需动力源瓶组数量应按下式计算:
式中:N——所需氮气瓶组数量(只),取自然数;
P1一一氮气瓶组储存压力(MPa);P2一一系统储液罐出口压力(MPa);
V1一一单个氮气瓶组容积(L);
V2一一系统储液罐容积与氮气管路容积之和(L);
k一一裕量系数(不小于1.5)。
2 系统盛装100%型水成膜泡沫液的压力储罐、启动装置、氮气驱动装置应安装在温度高于0℃的专用设备间内。 [条文]
条文说明6.4.1 本条规定了当独立变电站的油浸电力变压器设置泡沫喷雾系统时的系统形式选择。
随着国家电网系统的快速发展,与之相配套的变电站数量也不断增多,尤其是近年来随着特高压输电线路的建设,一座座配套的特高压变电站或交-直流换流站相继建成投用。在电力建设保障国家发展经济、惠及民生的同时,变电站火灾频发也影响安全生产,教训深刻。如2018年4月7日,国网±800kV天中直流(哈密到郑州)天山换流站(位于哈密市)极I高端B相换流变突发故障着火,起火物为换流变压器用变压器油(约130t)。因变压器高压母线套管直接插入阀厅,继而引发极I高端阀厅及其他5台换流变压器火灾,损失巨大。变压器频发火灾,那么变压器油为何物?发生火灾的主要原因有哪些?哪种灭火措施最有效?这些都是业内应掌握或了解的问题。
变压器油是原油经一定加工工艺生产的优质石油产品。现行国家标准《电工流体变压器和开关用的未使用过的矿物绝缘油》GB2536按凝点(或倾点)将变压器油分为10#、25#和45#,凝点分别不高于-10℃、-25℃、-45℃,10#和25#变压器油闭口闪点不低于140℃,45#变压器油闭口闪点不低于135℃。20℃时变压器油的密度不大于895kg/m3。25#变压器油最常用,45#变压器油基本上用于高寒地区。变压器油按其使用电压可分为普通变压器油和超高压变压器油,二者的区别在于电气性能和抗析气性能。以往多选用凝点低、氧化安定性较好的环烷基原油生产变压器油。由于环烷基原油储量只占世界原油储量的4%,近年来环烷基原油产量逐年下降,随着炼油工艺技术的发展,变压器油基础油的生产从选择环烷基原油,采用的硫酸脱蜡、白土精制工艺,逐渐演变为原油采用环烷基原油和石蜡基原油并重,工艺上采用溶剂精制、溶剂脱蜡、白土补充精制和加氢补充精制,目前国外已普遍采用加氢处理工艺。根据各炼油厂所加工的原油属性、蒸馏装置及操作条件的不同,有的采用常压馏分作为变压器油馏分,有的采用减压馏分。中石化某分公司利用减压馏分经加氢裂化、常压分馏、异构化脱蜡、加氢精制、异构化分馏、减压分馏生产25#变压器油,其基础油馏分见表5,其切割馏分(干点与初馏点温度之差)不足90℃,新疆生产的用于国产500kV电力变压器的45#变压器油的切割馏分更窄,为72℃。
各种烃类液体凝点由大到小的顺序为:正构烷烃>异构烷烃>环烷烃>芳烃,异构烷烃的凝点比相应正构烷烃低,且随着分支程度的增大而迅速下降;带侧链的环状烃侧链分支程度越大,凝点下降也越快。反式结构比顺式结构凝点低得多。依据表5与凝点判定25#和45#变压器油主要为C18~C22带多分支侧链的链烷烃或环烷烃及少量单环和双环芳香烃的液态混合物,且反式结构占比较大。 兼绝缘(相对介电常数约为空气的2.3倍)、散热冷却、保护绝缘材料等功能于一身,且如此高闪点的变压器油若被点燃,通常之前有一定量的变压器油发生了热裂解,产生氢、轻烃及短碳链烃类液体,亦即变压器大多数发生了放电闪络。变压器内部一旦发生严重过载、短路,可燃的绝缘材料和变压器油就会受高温或电弧作用而裂解,并产生大量气体,使变压器爆炸起火。结合案例分析,运行中的变压器发生火灾和爆炸有如下几个方面原因:
(1)线圈绝缘老化、油质不佳或油量过少、铁芯绝缘老化损坏、检修不慎破坏绝缘等导致的绝缘损坏。
(2)螺栓松动、焊接不牢、分接开关接点损坏等致使导线接触不良。
(3)负载短路。当变压器负载发生短路时,变压器将承受相当大的短路电流,如保护系统失灵或整定值过大,就有可能烧毁变压器,这样的事故在供电系统中并不罕见。
(4)接地不良。当三相负载不平衡时,零线上就会出现电流。如这一电流过大而接地点接触电阻又较大时,接地点就会出现高温,引燃可燃物。
(5)雷击过电压。油浸电力变压器的电流大多由架空线引来,很易遭到雷击产生的过电压的侵袭,击穿变压器的绝缘,引发变压器火灾。
泡沫喷雾系统与其他固定灭火系统一样,相关条文的规定是经济性与安全性相结合的产物,主要基于扑灭初期有限规模的火灾。根据天津消防研究所会同有关单位的试验研究,结合实际火灾扑救案例分析,相似条件下泡沫喷雾系统比水喷雾系统灭火效率高。一些变压器火灾在固定水喷雾系统不能初期灭火而要靠消防队灭火救援时,通常用泡沫消防车作为灭火主攻。如2000年12月11日,山东某500kV变电站A相变压器发生火灾,辖区消防支队迅速调集5个消防队、14台消防车、80余名消防干警前往处置,在干粉消防车的配合下靠泡沫消防车主攻灭火。又如2008年8月26日,位于江苏的某核电站1号机组主变B相变压器发生爆炸并引发火灾,固定水喷雾灭火系统启动较晚,火灾扩大。辖区消防支队与电站专职消防队先后出动14辆消防车赶赴火灾现场灭火,同样是泡沫消防车做主攻,并且在及时有效扑灭外部明火和降温冷却的基础上,拆卸变压器上方零部件,通过孔洞向变压器内部灌注泡沫进行灭火。综上,泡沫对变压器油火灾的灭火功效是业界公认的。
对于泡沫喷雾系统的形式,原国家标准《泡沫灭火系统设计规范》GB50151-2010就给出了本条规定的两种形式,但现实工程中大多数采用了压缩氮气驱动的系统形式。采用泡沫消防水泵、比例混合器的系统比采用压缩氮气驱动的系统既简单经济,又安全可靠,其避开了压力容器的安全和漏气问题,也避开了泡沫液的储存期长短问题,理应取代压缩氮气驱动的系统,但考虑到压缩氮气驱动形式存量大和相关设计单位需要一定的熟悉过程,所以本次修订仍有条件地保留了该种形式的系统。需要注意的是,单组变压器的额定容量是指三相容量之和,对于三相共体的变压器,即为一台变压器的容量,对于三相分体的变压器,为A相、B相、C相三台变压器的容量之和。
6.4.3 本条规定了泡沫喷雾系统保护独立变电站的油浸电力变压器时的设计参数,主要根据实体试验制订。2007年4月至9月,天津消防研究所会同相关单位对泡沫喷雾系统灭油浸变压器火灾进行了一系列实体试验。试验分两个阶段,第一阶段为小型模拟试验,变压器模型长2.5m、宽1.6m、高1.5m,集油坑长3.15m、宽2m、深0.3m。第二阶段为容量大于180000kV·A大型模拟油浸变压器实体火灾灭火试验,变压器模型长7m、宽4m、高4m,集油坑长8m、宽5m、深1m。试验油品为检修更替下的25#变压器油,主要试验结果见表6。
注:试验编号1、2、3为小型试验,试验编号4、5为大型试验。
1 变压器发生火灾时需要同时保护变压器油箱本体及其下面的集油坑,考虑到泡沫喷洒到变压器顶部后,大部分泡沫会沿变压器流到集油坑内,故规定按油箱本体水平投影且四周外延1m计算。
2 由表可知,对于大型油浸变压器,在供给强度为7L/(min·㎡)时,可在4min之内灭火,考虑一定的安全系数,将供给强度确定为不小于8L/(min·㎡)。
3 对于变压器套管插入直流阀厅布置的换流站,变压器着火后若不能及时控制火灾,可能波及阀厅,如本标准第6.4.1条条文说明中所述的天山换流站火灾,因此,对于该类换流站要求增设流量不小于48L/s的泡沫炮,此时系统的设计流量要求增加一台泡沫炮的流量;本条的高架泡沫炮主要是指泡沫炮的安装高度要使泡沫射流能够覆盖所保护的变压器顶部、集油坑等部位。
4 通过对国内变压器火灾案例进行调研,发现变压器起火后,最易从绝缘套管部位开裂。因此,应对进出线绝缘套管升高座孔口设置单独的喷头保护,以使喷洒的泡沫覆盖其孔口。
5 保护变压器绝缘套管升高座孔口的喷头雾化角宜为60°,以使更多泡沫能够进入变压器油箱。
6 从试验情况看,不管是小型试验还是大型试验,一般在5min内可以灭火,但考虑到当泡沫喷雾灭火系统不能有效灭火时,消防队赶到现场救援需15min,国内就曾有消防队利用泡沫消防车灭油浸变压器火灾的案例。因此,将连续供给时间确定为不应小于15min。本次修订,对于设置比例混合装置的系统,将连续供给时间增大至不应小于30min。主要基于两点考虑,一是该类系统一般用于保护大容量变压器,变压器火灾风险大;二是该类系统一般设置水泵、水池等,增大供给时间并不困难。对于采用由压缩氮气驱动形式时,考虑到其采用100%型水成膜泡沫液,受泡沫液储罐容量和动力瓶组数量限制,连续供给时间未做调整。