泡沫灭火系统技术标准
编号:GB50151-2021
颁布时间:2020/10/1
是否常用:是
是否有效:现行有效
分类:消防设施
9.2 进场检验9.2.1 材料和系统组件进场检验应按本标准附录B表B.0.2-1填写施工过程检查记录。 9.2.2 材料和系统组件进场抽样检查时有一件不合格,应加倍抽查;若仍有不合格,应判定此批产品不合格。 9.2.3 当对产品质量或真伪有疑义时,应由监理工程师组织检测或核实。 9.2.4 泡沫液进场后,应由监理工程师组织取样留存。 检查数量:按全项检测需要量。 检查方法:观察检查和检查泡沫液的自愿性认证或检验的有效证明文件、产品出厂合格证。 9.2.5 管材及管件的材质、规格、型号、质量等应符合国家现行有关产品标准规定和设计要求。
检查数量:全数检查。
检查方法:检查出厂检验报告与合格证。
9.2.6 管材及管件的外观质量除应符合其产品标准的规定外,尚应符合下列规定:
1 表面无裂纹、缩孔、夹渣、折叠、重皮和不超过壁厚负偏差的锈蚀或凹陷等缺陷;
2 螺纹表面完整无损伤,法兰密封面平整光洁无毛刺及径向沟槽;
3 垫片无老化变质或分层现象,表面无褶皱等缺陷。
检查数量:全数检查。
检查方法:观察检查。
9.2.7 管材及管件的规格尺寸和壁厚及其允许偏差应符合产品标准和设计的要求。
检查数量:每一规格、型号的产品按件数抽查20%,且不得少于1件。
检查方法:用钢尺和游标卡尺测量。
9.2.8 泡沫产生装置、泡沫比例混合器(装置)、泡沫液储罐、电机或柴油机及其拖动的泡沫消防水泵、盛装100%型水成膜泡沫液的压力储罐、动力瓶组及驱动装置、报警阀组、压力开关、水流指示器、水泵接合器、泡沫消火栓箱、泡沫消火栓、阀门、压力表、管道过滤器、金属软管等系统组件的规格、型号、性能应符合国家现行产品标准和设计要求,其中拖动泡沫消防水泵的柴油机的压缩比、带载扭矩、极限启动温度等应符合设计要求;盛装100%型水成膜泡沫液的压力储罐、动力瓶组及驱动装置应符合压力容器相关标准的规定。
检查数量:全数检查。
检查方法:检查自愿性认证或检验的有效证明文件、产品出厂合格证和相关技术资料。
9.2.9 泡沫产生装置、泡沫比例混合器(装置)、泡沫液储罐、电机或柴油机及其拖动的泡沫消防水泵、盛装100%型水成膜泡沫液的压力储罐、动力瓶组及驱动装置、报警阀组、压力开关、水流指示器、水泵接合器、泡沫消火栓箱、泡沫消火栓、阀门、压力表、管道过滤器、金属软管等系统组件的外观质量,应符合下列规定:
1 无变形及其他机械性损伤;
2 外露非机械加工表面保护涂层完好;
3 无保护涂层的机械加工面无锈蚀;
4 所有外露接口无损伤,堵、盖等保护物包封良好;
5 铭牌标记清晰、牢固。
检查数量:全数检查。
检查方法:观察检查。
9.2.10 电机或柴油机及其拖动的泡沫消防水泵手动盘车应灵活,无阻滞,无异常声音;高倍数泡沫产生器用手转动叶轮应灵活;固定式泡沫炮的手动机构应无卡阻现象。
检查数量:全数检查。
检查方法:手动检查。
9.2.11 泡沫缓释罩应采用奥氏体不锈钢材料制作,不锈钢板材厚度不应小于1.5mm。
检查数量:按设计要求数量的10%抽查,且不少于2个。
检查方法:观察检查和尺量检查。
9.2.12 泡沫喷雾系统动力瓶组及驱动装置的进场检验应符合下列规定:
1 动力瓶组及气动驱动装置储存容器的工作压力不应低于设计压力,且不得高于其最大工作压力,气体驱动管道上的单向阀应启闭灵活,无卡阻现象;
2 电磁驱动器的电源电压应符合系统设计要求。通电检查电磁铁芯,其行程应能满足系统启动要求,且应动作灵活,无卡阻现象。
检查数量:全数检查。
检查方法:观察检查和用压力计测量。
9.2.13 泡沫喷雾系统用水雾喷头应带有过滤网。
检查数量:全数检查。
检查方法:观察检查。
9.2.14 阀门的进场检验应符合下列规定:
1 各阀门及其附件应配备齐全;
2 控制阀的明显部位应有标明水流方向的永久性标志;
3 控制阀的阀瓣及操作机构应动作灵活、无卡阻现象,阀体内应清洁、无异物堵塞。
检查数量:全数检查。
检查方法:观察检查。
9.2.15 阀门的强度和严密性试验应符合下列规定:
1 强度和严密性试验应采用清水进行,强度试验压力应为公称压力的1.5倍;严密性试验压力应为公称压力的1.1倍;
2 试验压力在试验持续时间内应保持不变,且壳体填料和阀瓣密封面应无渗漏;
对于拖动泡沫消防水泵的柴油机,其压缩比、带载扭矩、极限启动温度等可通过查阅柴油机附带的产品使用说明、技术说明等技术资料来核查确认。
对于泡沫喷雾系统储存100%型水成膜泡沫液的压力储罐、动力瓶组、驱动装置的驱动气瓶需要符合相关压力容器的规定,如国家现行标准《压力容器》GB150、《固定式压力容器安全技术监察规程》TSGR0004、《钢制无缝气瓶》GB5099、《钢制焊接气瓶》GB5100和《气瓶安全监察规程》(质技监局锅发〔2000]250号)等的相关规定。
对于立式泡沫产生器,规范组在调研中发现,个别工程采用的产生器泡沫室上部未采用盲板,且泡沫室钢板的壁厚较薄,只有1mm左右,这样的产生器在火灾中很容易遭到破坏,且平时无法对密封玻璃进行检查和更换。泡沫产生器是系统中最容易受储罐爆炸影响的部件,需要具有一定的抗爆能力。因此,泡沫室的钢板要有一定厚度,尽可能不低于3.5mm。另外,为方便检修,立式泡沫产生器泡沫室的上部要用盲板密封。在进场检验时,要注意对上述几个方面进行检查。
9.2.9 在泡沫灭火系统上应用的这些组件,在从制造厂搬运到施工现场过程中,要经过装车、运输、卸车和搬运、储存等环节,有的露天存放,受环境的影响。在这期间,就有可能会因意外原因对这些组件造成损伤或锈蚀。为了保证施工质量,需要对这些组件进行外观检查。9.2.10 本条规定的目的是对这些组件的活动部件,用手动的方法进行检查,看其是否灵活。9.2.11 本条对泡沫缓释罩的材料做了规定。奥氏体不锈钢是指在常温下具有奥氏体组织的不锈钢。钢中含Cr约为18%、Ni为8%~10%、C约为0.1%时,会具有稳定的奥氏体组织。奥氏体不锈钢无磁性而且具有高韧性和塑性,在火灾时的抗破坏能力要好于其他类型不锈钢材料。
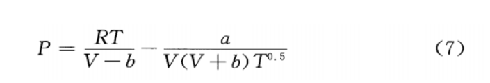
式中:P——氮气的压力(Pa);
检查数量:全数检查。
检查方法:检查出厂检验报告与合格证。
9.2.6 管材及管件的外观质量除应符合其产品标准的规定外,尚应符合下列规定:
1 表面无裂纹、缩孔、夹渣、折叠、重皮和不超过壁厚负偏差的锈蚀或凹陷等缺陷;
2 螺纹表面完整无损伤,法兰密封面平整光洁无毛刺及径向沟槽;
3 垫片无老化变质或分层现象,表面无褶皱等缺陷。
检查数量:全数检查。
检查方法:观察检查。
9.2.7 管材及管件的规格尺寸和壁厚及其允许偏差应符合产品标准和设计的要求。
检查数量:每一规格、型号的产品按件数抽查20%,且不得少于1件。
检查方法:用钢尺和游标卡尺测量。
9.2.8 泡沫产生装置、泡沫比例混合器(装置)、泡沫液储罐、电机或柴油机及其拖动的泡沫消防水泵、盛装100%型水成膜泡沫液的压力储罐、动力瓶组及驱动装置、报警阀组、压力开关、水流指示器、水泵接合器、泡沫消火栓箱、泡沫消火栓、阀门、压力表、管道过滤器、金属软管等系统组件的规格、型号、性能应符合国家现行产品标准和设计要求,其中拖动泡沫消防水泵的柴油机的压缩比、带载扭矩、极限启动温度等应符合设计要求;盛装100%型水成膜泡沫液的压力储罐、动力瓶组及驱动装置应符合压力容器相关标准的规定。
检查数量:全数检查。
检查方法:检查自愿性认证或检验的有效证明文件、产品出厂合格证和相关技术资料。
9.2.9 泡沫产生装置、泡沫比例混合器(装置)、泡沫液储罐、电机或柴油机及其拖动的泡沫消防水泵、盛装100%型水成膜泡沫液的压力储罐、动力瓶组及驱动装置、报警阀组、压力开关、水流指示器、水泵接合器、泡沫消火栓箱、泡沫消火栓、阀门、压力表、管道过滤器、金属软管等系统组件的外观质量,应符合下列规定:
1 无变形及其他机械性损伤;
2 外露非机械加工表面保护涂层完好;
3 无保护涂层的机械加工面无锈蚀;
4 所有外露接口无损伤,堵、盖等保护物包封良好;
5 铭牌标记清晰、牢固。
检查数量:全数检查。
检查方法:观察检查。
9.2.10 电机或柴油机及其拖动的泡沫消防水泵手动盘车应灵活,无阻滞,无异常声音;高倍数泡沫产生器用手转动叶轮应灵活;固定式泡沫炮的手动机构应无卡阻现象。
检查数量:全数检查。
检查方法:手动检查。
9.2.11 泡沫缓释罩应采用奥氏体不锈钢材料制作,不锈钢板材厚度不应小于1.5mm。
检查数量:按设计要求数量的10%抽查,且不少于2个。
检查方法:观察检查和尺量检查。
9.2.12 泡沫喷雾系统动力瓶组及驱动装置的进场检验应符合下列规定:
1 动力瓶组及气动驱动装置储存容器的工作压力不应低于设计压力,且不得高于其最大工作压力,气体驱动管道上的单向阀应启闭灵活,无卡阻现象;
2 电磁驱动器的电源电压应符合系统设计要求。通电检查电磁铁芯,其行程应能满足系统启动要求,且应动作灵活,无卡阻现象。
检查数量:全数检查。
检查方法:观察检查和用压力计测量。
9.2.13 泡沫喷雾系统用水雾喷头应带有过滤网。
检查数量:全数检查。
检查方法:观察检查。
9.2.14 阀门的进场检验应符合下列规定:
1 各阀门及其附件应配备齐全;
2 控制阀的明显部位应有标明水流方向的永久性标志;
3 控制阀的阀瓣及操作机构应动作灵活、无卡阻现象,阀体内应清洁、无异物堵塞。
检查数量:全数检查。
检查方法:观察检查。
9.2.15 阀门的强度和严密性试验应符合下列规定:
1 强度和严密性试验应采用清水进行,强度试验压力应为公称压力的1.5倍;严密性试验压力应为公称压力的1.1倍;
2 试验压力在试验持续时间内应保持不变,且壳体填料和阀瓣密封面应无渗漏;
3 阀门试压的试验持续时间不应少于表9.2.15的规定;
4 试验合格的阀门,应排尽内部积水并吹干。密封面应涂防锈油,应关闭阀门,封闭出入口,做出明显的标记,并应按本标准附录B表B.0.2-2记录。
检查数量:每批(同牌号、同型号、同规格)按数量抽查10%,且不得少于1个;主管道上的隔断阀门,应全部试验。
检查方法:将阀门安装在试验管道上,有液流方向要求的阀门,试验管道应安装在阀门的进口,然后管道充满水,排净空气,用试压装置缓慢升压,待达到严密性试验压力后,在最短试验持续时间内阀瓣密封面不渗漏为合格;最后将压力升至强度试验压力,在最短试验持续时间内壳体填料无渗漏为合格。 [条文]
对于拖动泡沫消防水泵的柴油机,其压缩比、带载扭矩、极限启动温度等可通过查阅柴油机附带的产品使用说明、技术说明等技术资料来核查确认。
对于泡沫喷雾系统储存100%型水成膜泡沫液的压力储罐、动力瓶组、驱动装置的驱动气瓶需要符合相关压力容器的规定,如国家现行标准《压力容器》GB150、《固定式压力容器安全技术监察规程》TSGR0004、《钢制无缝气瓶》GB5099、《钢制焊接气瓶》GB5100和《气瓶安全监察规程》(质技监局锅发〔2000]250号)等的相关规定。
对于立式泡沫产生器,规范组在调研中发现,个别工程采用的产生器泡沫室上部未采用盲板,且泡沫室钢板的壁厚较薄,只有1mm左右,这样的产生器在火灾中很容易遭到破坏,且平时无法对密封玻璃进行检查和更换。泡沫产生器是系统中最容易受储罐爆炸影响的部件,需要具有一定的抗爆能力。因此,泡沫室的钢板要有一定厚度,尽可能不低于3.5mm。另外,为方便检修,立式泡沫产生器泡沫室的上部要用盲板密封。在进场检验时,要注意对上述几个方面进行检查。
9.2.9 在泡沫灭火系统上应用的这些组件,在从制造厂搬运到施工现场过程中,要经过装车、运输、卸车和搬运、储存等环节,有的露天存放,受环境的影响。在这期间,就有可能会因意外原因对这些组件造成损伤或锈蚀。为了保证施工质量,需要对这些组件进行外观检查。9.2.10 本条规定的目的是对这些组件的活动部件,用手动的方法进行检查,看其是否灵活。9.2.11 本条对泡沫缓释罩的材料做了规定。奥氏体不锈钢是指在常温下具有奥氏体组织的不锈钢。钢中含Cr约为18%、Ni为8%~10%、C约为0.1%时,会具有稳定的奥氏体组织。奥氏体不锈钢无磁性而且具有高韧性和塑性,在火灾时的抗破坏能力要好于其他类型不锈钢材料。
9.2.12 本条对驱动装置的进场检验做了规定,目前泡沫喷雾系统的驱动装置多为气动驱动装置。气瓶的工作压力是随温度的变化而变化的,工作压力要满足在最低工作温度(0℃)下仍大于设计压力,在最高工作温度下不高于气瓶的最大工作压力。最大工作压力是指按最大充装压力充装的气瓶在50℃时的平衡压力。进场检验时要检查气瓶的工作压力是否满足要求。不同温度下气瓶的压力可采用Redlich-Kwong(R-K)方程进行计算,该公式见式(7):
式中:P——氮气的压力(Pa); T一一氮气的温度(K);
V——氮气的摩尔体积( m3 ? mol-1);
R一一普适气体常数(J ? mol-1 ? K 勺,取值为 8.3143;
a一一 R-K 常数(Pa ? m6 ? mol-2 ),对于氮气,取值为 1.5549;
b一一 R-K 常数(m3 ? mol-1),对于氮气,取值为 0.2674×10-4