火灾自动报警系统设计规范
编号:GB50116-2013
颁布时间:2014/5/1
是否常用:是
是否有效:现行有效
分类:消防设施
6.2
火灾探测器的设置
6.2.2
点型火灾探测器的设置应符合下列规定:
1 探测区域的每个房间应至少设置一只火灾探测器。
2 感烟火灾探测器和 A1、A2、B
型感温火灾探测器的保护面积和保护半径,应按表 6.2.2 确定;C、D、E、F、G
型感温火灾探测器的保护面积和保护半径,应根据生产企业设计说明书确定,但不应超过表 6.2.2 的规定。

注:建筑高度不超过 14m 的封闭探测空间,且火灾初期会产生大量的烟时,可设置点型感烟火灾探测器。
3 感烟火灾探测器、感温火灾探测器的安装间距,应根据探测器的保护面积 A 和保护半径 R 确定,并不应超过本规范附录 E 探测器安装间距的极限曲线
D1~D11(含D´9)规定的范围。
4 一个探测区域内所需设置的探测器数量,不应小于公式(6.2.2)的计算值:

式中:N——探测器数量(只),N 应取整数;
S——该探测区域面积(㎡);
K——修正系数,容纳人数超过 10000 人的公共场所宜取 0.7~0.8;容纳人数为 2000 人~10000 人的公共场所宜取
0.8~0.9 ,容纳人数为 500 人~2000 人的公共场所宜取 0.9~1.0 ,其他场所可取 1.0 ;
A——探测器的保护面积(㎡)。
6.2.3 在有梁的顶棚上设置点型感烟火灾探测器、感温火灾探测器时,应符合下列规定:
1
当梁突出顶棚的高度小于 200mm 时,可不计梁对探测器保护面积的影响。
2 当梁突出顶棚的高度为 200mm~600mm 时,应按本规范附录 F
、附录 G 确定梁对探测器保护面积的影响和一只探测器能够保护的梁间区域的数量。
3 当梁突出顶棚的高度超过 600mm
时,被梁隔断的每个梁间区域应至少设置一只探测器。
4 当被梁隔断的区域面积超过一只探测器的保护面积时,被隔断的区域应按本规范第 6.2.2 条第
4 款规定计算探测器的设置数量。
5 当梁间净距小于 1m 时,可不计梁对探测器保护面积的影响。
6.2.4 在宽度小于 3m
的内走道顶棚上设置点型探测器时,宜居中布置。感温火灾探测器的安装间距不应超过 10m ; 感烟火灾探测器的安装间距不应超过 15m
;探测器至端墙的距离,不应大于探测器安装间距的 1/2 。
6.2.5 点型探测器至墙壁、梁边的水平距离,不应小于 0.5m 。
6.2.6
点型探测器周围 0.5m 内,不应有遮挡物。
6.2.7 房间被书架、设备或隔断等分隔,其顶部至顶棚或梁的距离小于房间净高的 5%
时,每个被隔开的部分应至少安装一只点型探测器。
6.2.8 点型探测器至空调送风口边的水平距离不应小于 1.5m
,并宜接近回风口安装。探测器至多孔送风顶棚孔口的水平距离不应小于 0.5m 。
6.2.9
当屋顶有热屏障时,点型感烟火灾探测器下表面至顶棚或屋顶的距离,应符合表 6.2.9 的规定。

6.2.10 锯齿形屋顶和坡度大于
15°的人字形屋顶,应在每个屋脊处设置一排点型探测器,探测器下表面至屋顶最高处的距离,应符合本规范第 6.2.9 条的规定。
6.2.11
点型探测器宜水平安装。当倾斜安装时,倾斜角不应大于 45°。
6.2.12
在电梯井、升降机井设置点型探测器时,其位置宜在井道上方的机房顶棚上。
6.2.13
一氧化碳火灾探测器可设置在气体能够扩散到的任何部位。
6.2.14 火焰探测器和图像型火灾探测器的设置,应符合下列规定:
1
应计及探测器的探测视角及最大探测距离,可通过选择探测距离长、火灾报警响应时间短的火焰探测器,提高保护面积要求和报警时间要求。
2
探测器的探测视角内不应存在遮挡物。
3 应避免光源直接照射在探测器的探测窗口。
4
单波段的火焰探测器不应设置在平时有阳光、白炽灯等光源直接或间接照射的场所。
6.2.15 线型光束感烟火灾探测器的设置应符合下列规定:
1
探测器的光束轴线至顶棚的垂直距离宜为 0.3m~1.0m ,距地高度不宜超过 20m 。
2 相邻两组探测器的水平距离不应大于 14m
,探测器至侧墙水平距离不应大于 7m ,且不应小于 0.5m ,探测器的发射器和接收器之间的距离不宜超过 100m 。
3
探测器应设置在固定结构上。
4 探测器的设置应保证其接收端避开日光和人工光源直接照射。
5
选择反射式探测器时,应保证在反射板与探测器间任何部位进行模拟试验时,探测器均能正确响应。
6.2.16
线型感温火灾探测器的设置应符合下列规定:
1
探测器在保护电缆、堆垛等类似保护对象时,应采用接触式布置;在各种皮带输送装置上设置时,宜设置在装置的过热点附近。
2
设置在顶棚下方的线型感温火灾探测器,至顶棚的距离宜为 0.1m 。探测器的保护半径应符合点型感温火灾探测器的保护半径要求;探测器至墙壁的距离宜为 1m~1.5m
。
3 光栅光纤感温火灾探测器每个光栅的保护面积和保护半径,应符合点型感温火灾探测器的保护面积和保护半径要求。
4
设置线型感温火灾探测器的场所有联动要求时,宜采用两只不同火灾探测器的报警信号组合。
5
与线型感温火灾探测器连接的模块不宜设置在长期潮湿或温度变化较大的场所。
6.2.17 管路采样式吸气感烟火灾探测器的设置,应符合下列规定:
1 非高灵敏型探测器的采样管网安装高度不应超过16m ;高灵敏型探测器的采样管网安装高度可超过 16m ;采样管网安装高度超过 16m
时,灵敏度可调的探测器应设置为高灵敏度,且应减小采样管长度和采样孔数量。
2
探测器的每个采样孔的保护面积、保护半径,应符合点型感烟火灾探测器的保护面积、保护半径的要求。
3 一个探测单元的采样管总长不宜超过 200m
,单管长度不宜超过 100m ,同一根采样管不应穿越防火分区。采样孔总数不宜超过 100 个,单管上的采样孔数量不宜超过 25 个。
4
当采样管道采用毛细管布置方式时,毛细管长度不宜超过 4m 。
5 吸气管路和采样孔应有明显的火灾探测器标识。
6
有过梁、空间支架的建筑中,采样管路应固定在过梁、空间支架上。
7 当采样管道布置形式为垂直采样时,每 2℃ 温差间隔或 3m
间隔(取最小者)应设置一个采样孔,采样孔不应背对气流方向。
8 采样管网应按经过确认的设计软件或方法进行设计。
9
探测器的火灾报警信号、故障信号等信息应传给火灾报警控制器,涉及消防联动控制时,探测器的火灾报警信号还应传给消防联动控制器。
6.2.18
感烟火灾探测器在格栅吊顶场所的设置,应符合下列规定:
1 镂空面积与总面积的比例不大于 15% 时,探测器应设置在吊顶下方。
2
镂空面积与总面积的比例大于 30% 时,探测器应设置在吊顶上方。
3 镂空面积与总面积的比例为 15%~30%
时,探测器的设置部位应根据实际试验结果确定。
4 探测器设置在吊顶上方且火警确认灯无法观察时,应在吊顶下方设置火警确认灯。
5
地铁站台等有活塞风影响的场所,镂空面积与总面积的比例为 30%~70% 时,探测器宜同时设置在吊顶上方和下方。
6.2.19
本规范未涉及的其他火灾探测器的设置应按企业提供的设计手册或使用说明书进行设置,必要时可通过模拟保护对象火灾场景等方式对探测器的设置情况进行验证。
条文说明
6.2 火灾探测器的设置
6.2.1 本条对探测器的具体设置部位作出相应规定。
6.2.2 本条对点型火灾探测器的设置作出了规定。
1
本款规定“探测区域内的每个房间至少应设置一只火灾探测器”。这里提到的”每个房间”是指一个探测区域中可相对独立的房间,包括火车卧铺车厢的封闭空间等类似场所,即使该房间的面积比一只探测器的保护面积小得多,也应设置一只探测器保护。
2 本款规定的点型火灾探测器的保护面积,是在一个特定的实验条件下,通过 4
种典型的试验火试验提供的数据,并参照国外规范制定的,用来作为设计人员确定火灾自动报警系统中采用探测器数量的主要依据。
凡按现行国家标准《点型感烟火灾探测器》GB 4715 和《点型感温火灾探测器》GB 1716 检验合格的产品,其保护面积均符合本规范的规定。
(1)当探测器装于不同坡度的顶棚时,随着顶棚坡度的增大,烟雾沿斜顶棚和屋脊聚集,使得安装在屋脊或顶棚的探测器近烟或感受热气流的机会增加。因此,探测器的保护半径可相应地增大。
(2) 当探测器监视的地面面积 S>80㎡
时,安装在其顶棚上的感烟探测器受其他环境条件的影响较小。房间越高,火源和顶棚之间的距离越大,则烟均匀扩散的区域越大,对烟的容量也越大,人员疏散时间就越有保证。因此,随着房间高度增加,探测器保护的地面面积也增大。
(3) 感烟火灾探测器对各种不同类型火灾的灵敏度有所不同,但考虑到房间越高烟越稀薄的情况,当房间高度增加时,可将探测器的灵敏度相应地调高。
建筑高度不超过 14m 的封闭探测空间,且火灾初期会产生大量的烟时,可设置点型感烟火灾探测器,是根据实际试验结果制定的。
本条第 3
款规定的感烟火灾探测器、感温火灾探测器的安装间距 a、b 是指图 4
中1#探测器和2#~5#相邻探测器之间的距离,不是1#探测器与6#~9#探测器之间的距离。

(1)本规范附录 E 由探测器的保护面积 A 和保护半径 R 确定探测器的安装间距 a、b 的极限曲线
D1~D11(含 D9′)是按照下列方程绘制的,这些极限曲线端点 Yi
和 Zi 坐标值(ai、bi),即安装间距 a、b 在极限曲线端点的一组数值,如表 1 所示。

(2) 极限曲线 Dl~D4 和 D6 适宜于保护面积 A 等于 20、30 和 40㎡ 及其保护半径 R
等于 3.6、4.4、4.9、5.5、6.3m 的感温火灾探测器;极限曲线 D5 和 D7~D11(含 D9′)适宜于保护面积 A 等于 60、80、100 和
120㎡ 及其保护半径 R 等于 5.8、6.7、7.2、8.0、9.0 和 9.9m 的感烟火灾探测器。
本条第4
款规定了一个探测器区域内所需设置的探测器数量,按本条规定不应小于 N= S/K*A 的计算值。式中给出的修正系数 K
,是根据人员数量确定的,人员数量越大,疏散要求越高,就越需要尽早报警,以便尽早疏散。
为说明本规范表 6.2.2 、附录 E 、图 E
及公式(6.2.2) 的工程应用,下面给出一个例子。
例:一个地面面积为 30m×40m 的生产车间,其屋顶坡度为15°,房间高度为 8m
,使用点型感烟火灾探测器保护。试问,应设多少只感烟火灾探测器?应如何布置这些探测器?
解:① 确定感烟火灾探测器的保护面积 A 和保护半径 R
,查表 6.2.2,得感烟火灾探测器保护面积为 A=80㎡ 时,保护半径 R=6.7m ,
② 计算所需探测器设置数量。选取 K=1.0
,按公式(6.2.2)有 N =S/K*A=1200/1.0*80=15(只)。
③ 确定探测器的安装问距 a、b 。
由保护半径
R ,确定保护直径 D=2R=2×6.7=13.4(m),由附录 E 中图 E 可确定Di=D7,应利用 D7 极限曲线确定a 和 b值。根据现场实际,选取
a=8m(极限曲线两端点间值),得b=10m ,其布置方式见图4。
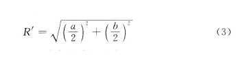
④ 校核按安装间距 a=8m、b=10m 布置后,探测器到最远点水平距离
R′是否符合保护半径要求,按公式(3)计算。

即 R′=6.4m<R=6.7m ,在保护半径之内。
6.2.3
本条主要规定了顶棚有梁时安装探测器的原则。由于梁对烟的蔓延会产生阻碍,因而使探测器的保护面积受到梁的影响。如果梁间区域(指高度在 200mm~600mm
之间的梁所包围的区域)的面积较小,梁对热气流(或烟气流)形成障碍,并吸收一部分热量,那么探测器的保护面积必然下降。探测器保护面积验证试验表明,梁对热气流(或烟气流)的影响还与房间高度有关。
1 当梁突出顶棚的高度小于 200mm 时,在顶棚上设置点型感烟、感温火灾探测器,可不计梁对探测器保护面积的影响。
2 当梁突出顶棚的高度在
200mm~600mm 时,应按附录 F、附录 G 确定梁的影响和一只探测器能够保护的梁间区域的个数。
由附录 E 可以看出,房间高度在 5m
以上,梁高大于 200mm 时,探测器的保护面积受梁高的影响按房间高度与梁高之间的线
性关系考虑。还可看出,C、D、E、F、G
型感温火灾探测器房高极限值为 4m ,梁高限度为 200mm ;B 型感温火灾探测器房高极限值为 6m ,梁高限度为 225mm ;A1、A2
型感温火灾探测器房高极限值为 8m ,梁高限度为 275mm ;感烟火灾探测器房高极限值为 12m ,梁高限度为
375mm。若梁高超过上述限度,即线性曲线右边部分,均需计梁的影响。
3 当梁突出顶棚的高度超过 600mm
时,被梁隔断的每个梁间区域应至少设置一只探测器。
4 当被梁隔断的区域面积超过一只探测器的保护面积时,则应将被隔断的区域视为一个探测区域,并应按
6.2.2 条第4 款规定计算探测器的设置数量。
5 当梁间净距小于 1m
时,可视为平顶棚,不计梁对探测器保护面积的影响。
6.2.4 本条规定是参考德国标准制定的。
6.2.5 本条规定是参考德国标准和英国规商制定的。探测器至墙壁、梁边的水平距离,不应小于 0.5m
是为了保证探测器可靠探测。
6.2.6
本条规定是为了保证探视测器可靠探测。
6.2.7
本条提到的这些场所的烟雾扩散特征与独立房间内烟雾扩散特征基本相同。
6.2.8
在设有空调的房间内,探测器不应安装在靠近空调送风口处。这是因为气流影响燃烧粒子扩散,使探测器不能有效探测。此外,通过电离室的气流在某种程度上改变电离电流,可能导致离子感烟火灾探测器误报。
6.2.9
当屋顶有热屏障时,点型感烟火灾探测器下表面至顶棚或屋顶的距离,应符合表 6.2.9
的规定。由于屋顶受辐射热作用或因其他因素影响,在顶棚附近可能产生空气滞留层,从而形成热屏障。火灾时,该热屏障将在烟雾和气流通向探测器的道路上形成障碍作用,影响探测器探测烟雾。同样,带有金属屋顶的仓库,夏天屋顶下边的空气可能被加热而形成热屏障,使得烟在热屏障下边不能到达顶部,而冬天降温作用也会妨碍烟的扩散。这些都将影响探测器的有效探测,而这些影响通常还与顶棚或屋顶形状以及安装高度有关。为此,需按表
6.2.9 规定的感烟火灾探测器下表面至顶棚或屋顶的必要距离安装探测器,以减少上述影响。
在人字形屋顶和锯齿形屋顶情况下,热屏障的作用特别明显。图
5 给出探测器在不同形状顶棚或屋顶下,其下表面至顶棚或屋顶的距离 d 的示意图。

感温火灾探测器通常受这种热屏障的影响较小,所以感温探测器总是直接安装在顶棚上(吸顶安装)。
6.2.10 在房屋为人字形屋顶的情况下,如果屋顶坡度大于
15°在屋脊(房屋最高部位)的垂直面安装一排探测器有利于烟的探测,因为房屋各处的烟易于集中在屋脊处。在锯齿形屋顶的情况下,按探测器下表面至屋顶或顶棚的距离
d(见第 6.2.9 条)在每个锯齿形屋顶上安装一排探测则器。这是因为,在坡度大于
15°的锯齿形屋顶情况下,屋顶有几米高,烟不容易从一个屋顶扩散到另一个屋顶,所以对于这种锯齿形厂房,应按分隔间处理。
6.2.11 探测器在顶棚上宜水平安装。当倾斜安装时,倾斜角 θ
不应大于 45°。当倾斜角 θ 大于 45°时,应加木台安装探测器。如图 6 所示。
6.2.12 本条规定有利于探测器探测井道中发生的火灾,且便于平时检修工作进行。
6.2.13
一氧化碳密度与空气密度相当,在空气中自由扩散,故本条作此规定。

θ——屋顶的法线与垂直方向的交角6.2.14
本条主要是对火焰探测器和图像型火灾探测器的设置进行了规定,这些规定是由探测器的特征决定的。
6.2.15 本条根据我国工程实践经验制定。
1 一般情况下,当顶棚高度不大于 5m
时,探测器的红外光束轴线至顶棚的垂直距离为 0.3m ;当顶棚高度为 10m~20m 时,光束轴线至顶棚的垂直距离口为 1.0m 。
2
相邻两组线型光束感烟火灾探测器的水平距离不应大于 14m 。探测器至侧墙水平距离不应大于 7m 且不应小于 0.5m
。超过规定距离探测烟的效果很差。探测器的发射器和接收器之间的距离不宜超过 100m
,是为了保证探测器灵敏度,也是为了防止建筑位移使探测器产生误报,见图7。

1——发射器;2——墙壁;3——接收器 3
探测器位置的变化将直接影响探测器的正常运行及探测,因此探测器应安装在固定的结构上,同时应考虑钢结构等建筑结构位移对探测器运行的影响。
4
探测器的工作原理决定了日光和人工光源对接收端的直接照射会影响探测器的正常运行甚至导致探拥器的误报警。
5
工程实践表明如果反射式探测器的灵敏度或报警设定值设置不合理,在探测器接收端快速出现高浓度烟雾粒子的扩散,可能导致探测器不报火警,而直接作出遮挡故障的判断,从而造成探测器的漏报。因此,在实际工程中发射端和接收端均应进行模拟试验,对探测器的响应进行验证。
6.2.16 本条主要参考国外相关规范,并依据我国工程实践和实体试验结果制定。
1
电缆、堆垛等保护对象火灾的发生通常经历温度升高→蓄热(受热)产生可燃气体→产生烟气→产生明火的过程,这些场所火灾早期探测的关键是在于温度的升高阶段。线性感温火灾探测器在电缆桥架或支架上设置时,应采用接触式敷设方式,即敷设于被保护电缆(表层电缆)外护套上面,如图
8 所示,图中固定卡具宜选用阻燃塑料卡具。

1——动力电缆;2——探测器热敏电缆;3——电缆桥架;4——固定卡具
在各种皮带输送装置上设置时,在不影响平时运行和维护的情况下,应根据现场情况而定,宜将探测器设置在装置的过热点附近,如图9 所示。

1——传送带;2——探测器终端;3
、5——探测器热敏电缆;4——拉线螺旋;6——电缆支撑架 2
线型感温火灾探测器在顶棚下方的设置是参考日本规范制定的,如图10 所示。

1——探测器;2——墙壁;3——固定点;4——顶棚 3
由于光栅光纤感温火灾探测器的每个光栅相当于-个型感温火灾探测器,因此其保护半径和保护面积的要求应符合点型感温火灾探测器的相关规定。
4
一般情况,当设置线型感温火灾探测器的场所有联动要求时,即该场所要求实现自动报警、自动灭火时,应采用同类型或者不同类型探测器的组合,所以建议采用双回路组合探测。在电缆隧道内,在电缆隧道顶部设置的线型感温火灾探测器的报警信号和该区域内电气火灾监控探测器报警信号的组合,可作为自动灭火设施启动的联动触发信号;在电缆层上表面设置的线型感温火灾探测器的报警信号,大多是由于探测器监测到其保护的动力电缆因发生电气故障造成温度异常所发出的报警信号,这种报警信号作为一种预警信号,警示管理人员快速查找电气故障原因,不宜作为联动触发信号。
5
长期潮湿的环境对模块内的电子元器件的影响比较大,从而降低模块的性能,导致报警不准确;温度变化较大时可能造成误报。因此连接模块不宜设置在此类场所。
6.2.17
本条主要参考澳大利亚及英国等国规范和我国自己进行的有关试验结果制定。
1 非高灵敏型吸气式感烟火灾探测灵敏度较低,其采样管网安装高度不应超过
16m 。
2
由于吸气式感烟火灾探测器的一个采样孔相当于一个点型感烟火灾探测器,所以每个采样孔的保护面积、保护半径应符合点型感烟火灾探测器的保护面积、保护半径的要求。
3 为了便于查找火源,同-根采样管不应穿越防火分区;另外,采样管的材质没有燃烧性能要求,如果穿越防火分区会导致火灾通过采样管扩散。
采样孔的灵敏度基本可以按探测器标称的最小灵敏度乘以实际采样孔数量计算。例如一台探测器标称的最小灵敏度为 0.005% obs/m ,采样管网上开了 100
个采样孔,单一采样孔的灵敏度就近似为 0.5% obs/m 。另外-台的探测器标称的最小灵敏度为 0.02 obs/m ,采样管网上开了 20
个采样孔,单一采样孔的灵敏度就近似为 0.4% obs/m 。
从上面的数据可以看出,采样孔越多,相对于每个采样孔的灵敏度就会越低。所以为了保证系统的可靠性和灵敏度,采样管及采样孔特性应与产品检验报告上描述的一致,过多开孔或增加采样管长度将导致每个采样孔的实际灵敏度低于一个常规点型感烟火灾探测器的灵敏度。
4 当采样管采用毛细管布置方式时.毛细管长度不能过长,否则将影响毛细采样孔的进气量,从而影响系统的探测性能。
5
为便于维护和管理,吸气管路和采样孔应有明显的火灾探测器标识。
6 本款规定是为了保证采样管的有效固定。
7
由于屋顶热屏障等因素的影响,从屋顶至下的空间形成梯度变化的温度场,温度的变化与空间高度密切相关,而烟雾粒子的上升高度又与上升高度的温度变化密切相关。因此根据相关试验结果并参考国外规范制定本款。
8 通常情况下,采样孔孔径在 2mm~5mm
之间,各企业的产品特性不同,可以参照产品使用说明书和检验报告设计。必要时,可以采用厂商提供的模拟计算软件来计算出采样孔的孔径大小。
9
通常探测器均安装在现场,因此要求探测器的火灾报警信号、故障信号等信息应传给火灾报警控制器。探测报警型的管路采样式吸气式感烟火灾探测器设置在没有火灾报警控制器的场所时,如果有联动需求,可以直接把火灾报警信号传给消防联动控制器。但在设置了火灾报警控制器的场所,应把火灾报警信号传给火灾报警控制器。
6.2.18
本条规定是根据实际试验结果确定的。
6.2.19 本条规定了本规范未涉及的其他火灾探测器的设置要求。