气体灭火系统设计规范
编号:GB50370-20053.3
七氟丙烷灭火系统
3.3.1
七氟丙烷灭火系统的灭火设计浓度不应小于灭火浓度的1.3倍,惰化设计浓度不应小于惰化浓度的1.1倍。
3.3.2
固体表面火灾的灭火浓度为5.8%,其他灭火浓度可按本规范附录A中表A-1的规定取值,惰化浓度可按本规范附录A中表A-2的规定取值。本规范附录A中未列出的,应经试验确定。
3.3.3
图书、档案、票据和文物资料库等防护区,灭火设计浓度宜采用10%。
3.3.4
油浸变压器室、带油开关的配电室和自备发电机房等防护区,灭火设计浓度宜采用9%。
3.3.5
通讯机房和电子计算机房等防护区,灭火设计浓度宜采用8%。
3.3.6
防护区实际应用的浓度不应大于灭火设计浓度的1.1倍。
3.3.7
在通讯机房和电子计算机房等防护区,设计喷放时间不应大于8s;在其他防护区,设计喷放时间不应大于10s。
3.3.8
灭火浸渍时间应符合下列规定:
1 木材、纸张、织物等固体表面火灾,宜采用20min;
2
通讯机房、电子计算机房内的电气设备火灾,应采用5min;
3 其他固体表面火灾,宜采用10 min;
4
气体和液体火灾,不应小于1 min。
3.3.9 七氟丙烷灭火系统应采用氮气增压输送。氮气的含水量不应大于0.006%。
储存容器的增压压力宜分为三级,并应符合下列规定:
1 一级 2.5+0.1MPa(表压);
2
二级 4.2+0.1MPa(表压);
3 三级 5.6+0.1MPa(表压)。
3.3.10
七氟丙烷单位容积的充装量应符合下列规定:
1 一级增压储存容器,不应大于1120kg/m³;
2
二级增压焊接结构储存容器,不应大于950kg/m³;
3 二级增压无缝结构储存容器,不应大于1120kg/m³;
4
三级增压储存容器,不应大于1080kg/m³。
3.3.11 管网的管道内容积,不应大于流经该管网的七氟丙烷储存量体积的80%。
3.3.12
管网布置宜设计为均衡系统,并应符合下列规定:
1 喷头设计流量应相等;
2
管网的第1分流点至各喷头的管道阻力损失,其相互间的最大差值不应大于20%。
3.3.13 防护区的泄压口面积,宜按下式计算:

式中 Fx——泄压口面积(m²);
Qx——灭火剂在防护区的平均喷放速率(kg/s);
Pf——围护结构承受内压的允许压强(Pa)。
3.3.14 灭火设计用量或惰化设计用量和系统灭火剂储存量,应符合下列规定:
1
防护区灭火设计用量或惰化设计用量应按下式计算:

式中 W——灭火设计用量或惰化设计用量(kg);
C1——灭火设计浓度或惰化设计浓度(%);
S——灭火剂过热蒸汽在101kPa大气压和防护区最低环境温度下的质量体积(m³/kg);
V——防护区的净容积(m³);
K——海拔高度修正系数,可按本规范附录B的规定取值。
2
灭火剂过热蒸气在101kPa大气压和防护区最低环境温度下的质量体积,应按下式计算:

式中 T——防护区最低环境温度(℃)。
3 系统灭火剂储存量应按下式计算:

式中 Wo——系统灭火剂储存量(kg);
△W1——储存容器内的灭火剂剩余量(kg);
△W2——管道内的灭火剂剩余量(kg)。
4 储存容器内的灭火剂剩余量,可按储存容器内引升管管口以下的容器容积量换算。
5
均衡管网和只含一个封闭空间的非均衡管网,其管网内的灭火剂剩余量均可不计。
防护区中含两个或两个以上封闭空间的非均衡管网,其管网内的灭火剂剩余量,可按各支管与最短支管之间长度差值的容积量计算。
3.3.15
管网计算应符合下列规定:
1 管网计算时,各管道中灭火剂的流量,宜采用平均设计流量。
2
主干管平均设计流量,应按下式计算:

式中 Qw——主干管平均设计流量(kg/s);
t——灭火剂设计喷放时间(s)。
3
支管平均设计流量,应按下式计算:

式中 Qg——支管平均设计流量(kg/s);
Ng——安装在计算支管下游的喷头数量(个);
Qc——单个喷头的设计流量(kg/s)。
4
管网阻力损失宜采用过程中点时储存容器内压力和平均设计流量进行计算。
5 过程中点时储存容器内压力,宜按下式计算:

式中 Pm——过程中点时储存容器内压力(MPa,绝对压力);
P0——灭火剂储存容器增压压力(MPa,绝对压力);
V0——喷放前,全部储存容器内的气相总容积(m³);
γ——七氟丙烷液体密度(kg/ m³),20℃时为1407kg/ m³;
VP——管网的管道内容积(m³);
n——储存容器的数量(个);
Vb——储存容器的容量(m³);
η——充装量(kg/ m³)。
6
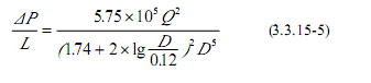
管网的阻力损失应根据管道种类确定。当采用镀锌钢管时,其阻力损失可按下式计算:

式中 △P——计算管段阻力损失(MPa);
L——管道计算长度(m),为计算管段中沿程长度与局部损失当量长度之和;
Q——管道设计流量(kg/s);
D——管道内径(mm)。
7 初选管径可按管道设计流量,参照下列公式计算:
当Q≤6.0kg/s时,

当6.0kg/s<Q<160.0kg/s时,

8 喷头工作压力应按下式计算:

式中 Pc——喷头工作压力(MPa,绝对压力);
Nd——流程中计算管段的数量;
Ph——高程压头(MPa)。
9 高程压头应按下式计算:

式中 H——过程中点时,喷头高度相对储存容器内液面的位差(m);
g——重力加速度(m/s²)。
3.3.16
七氟丙烷气体灭火系统的喷头工作压力的计算结果,应符合下列规定:
1 一级增压储存容器的系统Pc
≥0.6(MPa,绝对压力);
二级增压储存容器的系统Pc ≥0.7(MPa,绝对压力);
三级增压储存容器的系统Pc ≥0.8(MPa,绝对压力)。

3.3.17 喷头等效孔口面积应按下式计算:

式中 Fc——喷头等效孔口面积(cm²);
qc——等效孔口单位面积喷射率[kg/(s▪cm²)],可按本规范附录C采用。
3.3.18 喷头的实际孔口面积,应经试验确定,喷头规格应符合本规范附录D的规定。
条文说明
3.3 七氟丙烷灭火系统
3.3.1
灭火设计浓度不应小于灭火浓度1.3倍及惰化设计浓度不应小于惰化浓度1.1倍的规定,是等同采用《气体灭火系统—物理性能和系统设计》ISO14520及《洁净气体灭火剂灭火设计规范》NFPA2001标准的规定。
有关可燃物的灭火浓度数据及惰化浓度数据,也是采用了《气体灭火系统—物理性能和系统设计》ISO14520及《洁净气体灭火剂灭火设计规范》NFPA2001标准的数据。
采用惰化设计浓度的,只是对有爆炸危险的气体和液体类的防护区火灾而言。即是说,无爆炸危险的气体、液体类的防护区,仍采用灭火设计浓度进行消防设计。
那么,如何认定有无爆炸危险呢?
首先,应从温度方面去检查。以防护区内存放的可燃、易燃液体或气体的闪点(闭口杯法)温度为标准,检查防护区的最高环境温度及这些物料储存(或工作)温度,不高过闪点温度的,且防护区灭火后不存在永久性火源、而防护区又经常保持通风良好,则认为无爆炸危险,可按灭火设计浓度进行设计。还需提请注意的是:对于扑救气体火灾,灭火前应做到切断气源。
当防护区最高环境温度或可燃、易燃液体的储存(或工作)温度高过其闪点(闭口杯法)温度时,可进一步再做检查:如果在该温度下,液体挥发形成的最大蒸气浓度小于它的燃烧下限浓度值的50%时,仍可考虑按无爆炸危险的灭火设计浓度进行设计。
如何在设计时确定被保护对象(可燃、易燃液体)的最大蒸气浓度是否会小于其燃烧下限浓度值的50%呢?这可转换为计算防护区内被保护对象的允许最大储存量,并可参考下式进行计算:

式中 Wm—允许的最大储存量(kg);
Cf—该液体(保护对象)蒸气在空气中燃烧下限浓度(%,体积比);
M—该液体的分子量;
K—防护区最高环境温度或该液体工作温度(按其中最大值,绝对温度)
V—防护区的容积(m³)。
3.3.3
本条规定了图书、档案、票据及文物资料等防护区的灭火设计浓度宜采用10%。首先应该说明,依据本规范3.2.1条,七氟丙烷只适用于扑救固体表面火灾,因此上述规定的灭火设计浓度,是扑救表面火灾的灭火设计浓度,不可用该设计浓度去扑救这些防护区的深位火灾。
固体类可燃物大都有从表面火灾发展为深位火灾的危险;并且,在燃烧过程中表面火灾与深位火灾之间无明显的界面可以划分,是一个渐变的过程。为此,在灭火设计上,立足于扑救表面火灾,并顾及到浅度的深位火灾的危险;这也是制定卤代烷灭火系统设计标准时国内外一贯的做法。
如果单纯依据《气体灭火系统—物理性能和系统设计》ISO14520标准所给出的七氟丙烷灭固体表面火灾的灭火浓度为5.8%的数据,而规定上述防护区的最低灭火设计浓度为
7.5%,是不恰当的。因为那只是单纯的表面火灾灭火浓度,《气体灭火系统—物理性能和系统设计》ISO14520标准所给出的这个数据,是以正庚烷为燃料的动态灭火试验为基础的,它当然是单纯的表面火灾,只能在热释放速率等方面某种程度上代表固体表面火灾,而对浅度的深位火灾的危险性,正庚烷火不可能准确体现。
本条规定了纸张类为主要可燃物防护区的灭火设计浓度,它们在固体类火灾中发生浅度深位火灾的危险,比之其他可能性更大。扑灭深位火灾的灭火浓度要远大于扑灭表面火灾的灭火浓度;且对于不同的灭火浸渍时间,它的灭火浓度会发生变化,浸渍时间长,则灭火浓度会低一些。
制定本条标准应以试验数据为基础,但七氟丙烷扑灭实际固体表面火灾的基本试验迄今未见国内外有相关报道,无法借鉴。所以只能借鉴以往国内外制定其它卤代烷灭火系统设计标准的有关数据,它们对上述保护对象,其灭火设计浓度约取灭火浓度的1.7~2.0倍,浸渍时间大都取10min。故本条规定七氟丙烷在上述防护区的灭火设计浓度为10%,是灭火浓度的1.72倍。
3.3.4
本条对油浸变压器室、带油开关的配电室和燃油发电机房的七氟丙烷灭火设计浓度规定宜采用9%,是依据《气体灭火系统—物理性能和系统设计》ISO14520标准提供的相关灭火浓度数据,取安全系数约为1.3确定的。
3.3.5
通讯机房、计算机房中的陈设、存放物,主要是电子电器设备、电缆导线和磁盘、纸卡之类,以及桌椅办公器具等,它们应属固体表面火灾的保护。依据《气体灭火系统—物理性能和系统设计》ISO14520标准的数据,固体表面火灾的七氟丙烷灭火浓度为5.8%,最低灭火设计浓度可取7.5%。但是,由于防护区内陈设、存放物多样,不能单纯按电子电器设备可燃物类考虑;即使同是电缆电线,也分塑胶与橡胶电缆电线,它们灭火难易不同。我国国家标准《卤代烷1301灭火系统设计规范》GB50163-92,对通讯机房、电子计算机房规定的卤代烷1301的灭火设计浓度为5%,而固体表面火灾的卤代烷1301的灭火浓度为3.8%,取的安全系数是1.32;国外的情况,像美国,计算机房用卤代烷1301保护,一般都取5.5%灭火设计浓度,安全系数为1.45。
从另外一个角度来说,七氟丙烷与卤代烷1301比较,在火场上它比卤代烷1301的分解产物多,其中主要成分是HF,HF对人体与精密设备是有伤害和浸蚀影响的,但据美国Fessisa的试验报告指出,提高七氟丙烷的灭火设计浓度,可以抑制分解产物的生成量,提高20%就可减少50%的生成量。
正是考虑上述情况,本规范确定七氟丙烷对通讯机房、电子计算机房的保护,采用灭火设计浓度为8%,安全系数取的是1.38。
3.3.6 本条所作规定,目的是限制随意增加灭火使用浓度,同时也为了保证应用时的人身安全和设备安全。
3.3.7
一般来说,采用卤代烷气体灭火的地方都是比较重要的场所,迅速扑灭火灾,减少火灾造成的损失,具有重要意义。因此,卤代烷灭火都规定灭初期火灾,这也正能发挥卤代烷灭火迅速的特点;否则,就会造成卤代烷灭火的困难。对于固体表面火灾,火灾预燃时间长了才实行灭火,有发展成深位火灾的危险,显然是很不利于卤代烷灭火的;对于液体、气体火灾,火灾预燃时间长了,有可能酿成爆炸的危险,卤代烷灭火可能要从灭火设计浓度改换为惰化设计浓度。由此可见,采用卤代烷灭初期火灾,缩短灭火剂的喷放时间是非常重要的。故国际标准及国外一些工业发达国家的标准,都将卤代烷的喷放时间规定不应大于10s。
另外,七氟丙烷遇热时比卤代烷1301的分解产物要多出很多,其中主要成分是HF,它对人体是有伤害的;与空气中的水蒸气结合形成氢氟酸,还会造成对精密设备的浸蚀损害。根据美国Fesseisa的试验报告,缩短卤代烷在火场的喷放时间,从10s缩短为5s,分解产物减少将近一半。
为有效防止灭火时HF对通讯机房、电子计算机房等防护区的损害,宜将七氟丙烷的喷放时间从一般的10s缩短一些,故本条中规定为8s。这样的喷放时间经试验论证,一般是可以做到的,在一些工业发达国家里也是被提倡的。当然,这会增加系统设计和产品设计上的难度,尤其是对于那些离储瓶间远的防护区和组合分配系统中的个别防护区,它们的难度会大一些。故本规范采用了5.6MPa增压(等级)条件供选用。
3.3.8
本条是对七氟丙烷灭火时在防护区的浸渍时间所做的规定,针对不同的保护对象提出不同要求。
对扑救木材、纸张、织物类固体表面火灾,规定灭火浸渍时间宜采用20min。这是借鉴以往卤代烷灭火试验的数据。例如,公安部天津消防研究所以小木楞垛(12mm×12mm×140mm,5排×7层)动态灭火试验,求测固体表面火灾的灭火数据(美国也曾做过这类试验)。他们的灭火数据中,以卤代烷1211为工质,达到3.5%的浓度,灭明火;欲继续将木楞垛中的阴燃火完全灭掉,需要提高到6~8%的浓度,并保持此浓度6~7min;若以3.5%~4%的浓度完全灭掉阴燃火,保持时间要增至30min以上。
在第3.3.3条中规定本类火灾的灭火设计浓度为10%,安全系数取1.72,按惯例该安全系数取的偏低点。鉴于七氟丙烷市场价较高,不宜将设计浓度取高,而是可以考虑将浸渍时间稍加长些,这样仍然达到安全应用的目的。故本条规定了扑救木材、纸张、织物类灭火的浸渍时间为20min。这样做符合本规范总则中“安全可靠”、“经济合理”的要求;在国外标准中,也有卤代烷灭火浸渍时间采用20min的规定。
至于其它类固体火灾,灭火一般要比木材、纸张类容易些(热固性塑料等除外),故灭火浸渍时间规定为宜采用10min。
通讯机房、电子计算机房的灭火浸渍时间,在本规范里不像其他类固体火灾规定的那么长,是出于以下两方面的考虑:
第一.尽管它们同属固体表面火灾保护,但电子、电器类不像木材、纸张那样容易趋近构成深位火灾,扑救起来要容易得多;同时,国内外对电子计算机房这样的典型应用场所,专门做过一些试验,试验表明,卤代烷灭火时间都是在1min内完成的,完成后无复燃现象。
第二,通讯机房、计算机房所采用的是精密设备,通导性和清洁性都要求非常高,应考虑到七氟丙烷在火场所产生的分解物可能会对它们造成危害。所以在保证灭火安全的前提下,尽量缩短浸渍时间是必要的。这有利于灭火之后尽快将七氟丙烷及其分解产物从防护区里清除出去。
但从灭火安全考虑,也不宜将灭火浸渍时间取得过短,故本规范规定,通讯机房、计算机房等防护区的灭火浸渍时间为5min。
气体、液体火灾都是单纯的表面火灾。所有气体、液体灭火试验表明,当气体灭火剂达到灭火浓度后都能立即灭火。考虑到一般的冷却要求,本规范规定它们的灭火浸渍时间不应小于1min。如果灭火前的燃烧时间较长,冷却不容易,浸渍时间应适当加长。
3.3.9
七氟丙烷20℃时的蒸气压为0.39MPa(绝对压力),七氟丙烷在环境温度下储存,其自身蒸气压不足以将灭火剂从灭火系统中输送喷放到防护区。为此,只有在储存容器中采用其他气体给灭火剂增压。规定采用的增压气体为氮气,并规定了它的允许含水量,以免影响灭火剂质量和保证露点要求。这都等同采用了《气体灭火系统—物理性能和系统设计》ISO14520及《洁净气体灭火剂灭火系统设计规范》NFPA2001标准的规定。
为什么要对增压压力作出规定,而不可随意选取呢?这其中的主要缘故是七氟丙烷储存的初始压力,是影响喷头流量的一个固有因素。喷头的流量曲线是按初始压力为条件预先决定的,这就要求初始充压压力不能随意选取。
为了设计方便,设定了三个级别:系统管网长、流损大的,可选用4.2MPa及5.6MPa增压级;管网短、流损小的,可选用2.5
MPa增压级。2.5MPa及4.2MPa是等同采用了ISO14520及《洁净气体灭火剂灭火系统设计规范》NFPA2001标准的规定;增加的5.6MPa增压级是为了满足我国最通常采用的组合分配系统的设计需要,即在一些距离储瓶间较远防护区也能达到喷射时间不大于8s的设计条件。
3.3.10
对单位容积充装量上限的规定,是从储存容器使用安全考虑的。因充装量过高时,当储存容器工作温度(即环境温度)上升到某一温度之后,其内压随温度的增加会由缓增变为陡增,这会危及储存容器的使用安全,故而应对单位容积充装量上限作出恰当而又明确的规定。充装量上限由实验得出,所对应的最高设计温度为50℃,各级的储存容器的设计压力应分别不小于:一级4.0MPa;二级5.6MPa(焊接容器)和6.7MPa(无缝容器);三级8.0MPa。
系统计算过程中初选充装量,建议采用800~900kg /m³左右。
3.3.11
本条所做的规定,是为保证七氟丙烷在管网中的流动性能要求及系统管网计算方法上的要求而设定的。我国国家标准《卤代烷1301灭火系统设计规范》GBJ50163-92和美国标准《卤代烷1301灭火系统标准》NFPA12A中都有相同的规定。
3.3.12
管网设计布置为均衡系统有三点好处:一是灭火剂在防护区里容易做到喷放均匀,利于灭火;二是可不考虑灭火剂在管网中的剩余量,做到节省;三是减少设计工作的计算量,可只选用一种规格的喷头,只要计算“最不利点”这一点的阻力损失就可以了。
均衡系统本应是管网中各喷头的实际流量相等,但实际系统大都达不到这一条件。因此,按照惯例,放宽条件,符合一定要求的,仍可按均衡系统设计。这种规定,其实质在于对各喷头间工作压力最大差值容许有多大。过去,对于可液化气体的灭火系统,国内外标准一般都按流程总损失的10%确定允许最大差值。如果本规范也采用这一规定,在按本规范设计的七氟丙烷灭火系统中,按第二级增压的条件计算,可能出现的最大的流程总损失为
l.5
MPa(4.2MPa/2-0.6MPa),允许的最大差值将是0.15MPa。即当“最不利点”喷头工作压力是0.6MPa时,“最利点”喷头工作压力可达0.75
MPa,由此计算得出喷头之间七氟丙烷流量差别接近20%(若按第三级增压条件计算其差别会更大)。差别这么大,对七氟丙烷灭火系统来说,要求喷射时间短、灭火快,仍将其认定是均衡系统,显然是不合理的。
上述制定允许最大差值的方法有值得商榷的地方。管网各喷头工作压力差别,是由系统管网进入防护区后的管网布置所产生的,与储存容器管网、汇流管和系统的主干管没有关系,不应该用它们来规定“允许最大差值”;更何况上述这些管网的损失占流程总损失的大部分,使最终结果误差较大。
本规范从另一个角度考虑——相互间发生的差别用它们自身的长短去比较来考虑,故规定为:“管网的第1分流点至各喷头的管道阻力损失,其相互之间的最大差值不应大于20%”。虽然允许差值放大了,但喷头之间的流量差别却减小了。经测算,当第1分流点至各喷头的管道阻力损失最大差值为20%时,其喷头之间流量最大差别仅为10%左右。
3.3.14 灭火设计用量或惰化设计用量和系统灭火剂储存量
1
本款是等同采用了《气体灭火系统—物理性能和系统设计》ISO14520及《洁净气体灭火剂灭火系统设计规范》NFPA2001标准的规定。公式中C1值的取用,取百分数中的实数(不带百分号)。公式中K(海拔高度修正系数)值,对于在海拔高度0~1000m以内的防护区灭火设计,可取K=1.即可以不修正。对于采用了空调或冬季取暖设施的防护区,公式中的S值,可按20℃进行计算。
2 本款是等同采用了《气体灭火系统—物理性能和系统设计》ISO14520及《洁净气体灭火剂灭火系统设计规范》NFPA200l标准的规定。
3
一套七氟丙烷灭火系统需要储存七氟丙烷的量,就是本条规定系统的储存量。式(3.3.14-1)计算出来的“灭火设计用量”,是必须储存起来的,并且在灭火时要全部喷放到防护区里去,否则就难以实现灭火的目的。但是要把容器中的灭火剂全部从系统中喷放出去是不可能的,总会有一些剩留在容器里及部分非均衡管网的管道中。为了保证“灭火设计用量”都能从系统中喷放出去,在系统容器中预先多充装一部分,这多装的量正好等于在喷放时剩留的,即可保证“灭火设计用量”
全部喷放到防护区里去。
5 非均衡管网内剩余量的计算,参见下图说明:
从管网第一分支点计算各支管的长度,分别取各长支管与最短支管长度的差值为计算剩余量的长度;各长支管在末段的该长度管道内容积量之和,等量于灭火剂在管网内剩余量的体积量。

注:其中bc<bd,bx=bc及ab+bc=ae+ex2
系统管网里七氟丙烷剩余量(容积量)等于管道xd段、x2f段、fg段与fh段的管道内容积之和。
3.3.15 管网计算的规定
4
本款规定了七氟丙烷灭火系统管网的计算方法。由于七氟丙烷灭火系统是采用了氮气增压输送,而氮气增压方法是采用的定容积的密封蓄压方式,在七氟丙烷喷放过程中无氮气补充增压。故七氟丙烷灭火系统喷放时,是定容积的蓄压气体在自由膨胀下输送七氟丙烷,形成不定流、不定压的随机流动过程。这样的管流计算是比较复杂的,细致的计算应采用微分的方法,但在工程应用计算上很少采用这种方法。历来的工程应用计算,都是在保证应用精度的条件下力求简单方便。卤代烷灭火系统计算也不例外,以往的卤代烷灭火系统的国际、国外标准都是这样做的(但迄今为止,国际、国外标准尚未提供洁净气体灭火剂灭火系统的管网计算方法)。
对于这类管流的简化计算,常采用的办法是以平均流量取代过程中的不定流量。已知流量还不能进行管流计算,还需知道相对应的压头。寻找简化计算方法,也就是寻找相应于平均流量的压头。在七氟丙烷喷放过程中,必然存在这样的某一瞬时,其流量会正好等于全过程的平均流量,那么该瞬时的压头即是所需寻找的压头。
对于现今工程上通常所建立的卤代烷灭火系统,经过精细计算,卤代烷喷放的流量等于平均流量的那一瞬时,是系统的卤代烷设计用量从喷头喷放出去50%的瞬时(准确地说,是非常接近50%的瞬时);只要是在规范所设定的条件下进行系统设计,就不会因为系统的某些差异带来该瞬时点的较大的偏移。将这一瞬时,规定为喷放全过程的“过程中点”。本规范对七氟丙烷灭火系统的管网计算就采用了这个计算方法。它不是独创,也是沿用了以往国际标准和国外标准对卤代烷灭火系统的一贯做法。
5
喷放“过程中点”储存容器内压力的含义,请见上一款的说明。这一压力的计算公式,是按定温过程依据波义尔——马略特定律推导出来的。
6
本款是提供七氟丙烷灭火系统设计进行管流阻力损失计算的方法。该计算公式可以做成图示(图2),更方便于计算使用。

七氟丙烷管流阻力损失的计算,现今的《气体灭火系统—物理性能和系统设计》ISO14520及《洁净灭火剂灭火系统设计规范》NFPA2001都未提供出来。为了建立这一计算方法,首先应该了解七氟丙烷在灭火系统中的管流状态。为此进行了专项实验,对七氟丙烷在20℃条件下,以不同充装率,测得它们在不同压力下七氟丙烷的密度变化,绘成曲线如图3。

从测试结果得知,七氟丙烷在管道中的流动,即使在大压力降的条件下,基本上仍是液相流。据此,依据流体力学的管流阻力损失计算基本公式和阻力平方区的尼古拉茨公式,建立了本规范中的七氟丙烷管流的计算方法。
将这一计算方法转换为对卤代烷1211的计算,与美国《卤代烷1211灭火系统标准》NFPA12B和英国《室内灭火装置与设备实施规范》BS5306上的计算进行校核,得到基本一致的结果。
本款中所列(3.3.15-5)式和图2用于镀锌钢管七氟丙烷管流的阻力损失计算;当系统管道采用不锈钢管时,其阻力损失计算可参考使用。
有关管件的局部阻力损失当量长度见表1~表3,可供设计参考使用:

3.3.16
本条的规定,是为了保证七氟丙烷灭火系统的设计质量,满足七氟丙烷灭火系统灭火技术要求而需设定的。
最小Pc值是参照实验结果确定的。
Pc≥Pm/2(MPa,绝对压力),它是对七氟丙烷系统设计通过“简化计算”后精确性的检验;如果不符合,说明设定条件不满足,应该调整重新计算。
下面用一个实例,介绍七氟丙烷灭火系统设计的计算演算:
有一通讯机房,房高3.2m,长14m,宽7m,设七氟丙烷灭火系统进行保护(引入的部件的有关数据是取用某公司的ZYJ-100系列产品)。
1)确定灭火设计浓度
依据本规范中规定,取C1=8%
2)计算保护空间实际容积
V=3.2×14×7=313.6(m³)
3)计算灭火剂设计用量
依据本规范公式(3.3.14-1),
S=0.1269+0.000513·T
=0.1269+0.000513×20
=0.13716(m³/kg)
4)设定灭火剂喷放时间
依据本规范中规定,取t=7s
5)设定喷头布置与数量
选用JP型喷头,其保护半径R=7.5m
故设定喷头为2只;按保护区平面均匀布置喷头
6)选定灭火剂储存容器规格及数量
根据W=198.8kg,选用100升的JR-100/54储存容器3只。
7)绘出系统管网计算图(图4)。

图4
系统管网计算图
8)计算管道平均设计流量
主干管:
支管:Qg=Qw/2=14.2(kg/s)
储存容器出流管:
9)选择管网管道通径。
以管道平均设计流量,依据本规范条文说明3.3.15第6款中图2选取,其结果,标在管网计算图上。
10)计算充装率。
系统储存量:
管网内剩余量:△W2=0
储存容器内剩余量:△W1=n×3.5=3×3.5=10.5(kg)
充装率:
11)计算管网管道内容积。
先按管道内径求出单位长度的内容积,然后依据管网计算图上管段长度求算:
VP=29×3.42+7.4×1.96=113.7(m³)。
12)选用额定增压压力。
依据本规范中规定,选用P0=4.3Mpa(绝对压力)。
13)计算全部储存容器气相总容积。
依据本规范中公式(3.3.15-4)
14)计算“过程中点”储存容器内压力。
依据本规范中公式(3.3.15-3)
=(4.3×0.1512)/[0.1512+198.8/(2×1407)+0.1137]
=1.938(MPa,绝对压力)
15)计算管路损失。
(1)ab段
以Qp=9.47kg/s及DN=40mm,查图2得:
(ΔP/L)ab=0.0103MPa/m
计算长度Lab=3.6+3.5+0.5=7.6(m)
ΔPab= (ΔP/L)ab×Lab=0.0103×7.6=0.0783(MPa)
(2)bb’段
以0.55Qw=15.6kg/s及DN=65mm,查图2得:
(ΔP/L)bb’=0.0022MPa/m
计算长度Lbb’=0.8(m)
ΔP bb’=(ΔP/L)bb’×Lbb’=0.0022×0.8=0.00176(MPa)
(3) b’c段
以Qw=28.4/kg/s及DN=65mm,查图2得:
(ΔP/L)b’c=0.008MPa/m
计算长度Lb’c=0.4+4.5+1.5+4.5+26=36.9(m)
ΔP b’c=(ΔP/L)b’c×Lb’c=0.008×36.9=0.2952(MPa)
(4)cd段
以Qg=14.2kg/s及DN=50mm,查图2得:
(ΔP/L)cd=0.009MPa/m
计算长度Lcd=5+0.4+3.5+3.5+0.2=12.6(m)
ΔP
cd=(ΔP/L)cd×Lcd=0.009×12.6=0.1134(MPa)
(5)求得管路总损失:
16)计算高程压头
依据本规范中公式(3.3.15-9):
其中,H=2.8m(“过程中点”时,喷头高度相对储存容器内液面的位差)
=10-6×1407×2.8×9.81
=0.0386(MPa)
17)计算喷头工作压力。
依据本规范中公式(3.3.15-8)
=1.938-0.4887-0.0386
=1.411(MPa,绝对压力)
18)验算设计计算结果。
依据本规范的规定,应满足下列条件:
(1)
Pc≥0.7(MPa,绝对压力);
皆满足,合格。
19)计算喷头等效孔口面积及确定喷头规格。
以Pc=1.411MPa从本规范附录C表C-2中查得,
喷头等效孔口单位面积喷射率:qc=3.1[(kg/s)/cm²]
又,喷头平均设计流量:Qc=W/2=14.2kg/s
由本规范中公式(3.3.17)求得喷头等效孔口面积:
由此,即可依据求得的FC值,从产品规格中选用与该值相等(偏差+9-3%)、性能跟设计一致的喷头为JP-30。
3.3.18 一般喷头的流量系数在工质一定的紊流状态下,只由喷头孔口结构所决定,但七氟丙烷灭火系统的喷头,由于系统采用了氮气增压输送,部分氮气会溶解在七氟丙烷里,在喷放过程中它会影响七氟丙烷流量。氮气在系统工作过程中的溶解量与析出量和储存容器增压压力及喷头工作压力有关,故七氟丙烷灭火系统喷头的流量系数,即各个喷头的实际等效孔口面积值与储存容器的增压压力及喷头孔口结构等因素有关,应经试验测定。