气体灭火系统设计规范
编号:GB50370-2005
颁布时间:2006/5/1
是否常用:是
是否有效:现行有效
分类:消防设施
3.5
热气溶胶预制灭火系统
3.5.2 S型和K型热气溶胶灭固体表面火灾的灭火密度为100g/m³。
3.5.3 通讯机房和电子计算机房等场所的电气设备火灾,S型热气溶胶的灭火设计密度不应小于130g/m³。
3.5.4 电缆隧道(夹层、井)及自备发电机房火灾,S型和K型热气溶胶的灭火设计密度不应小于140g/m³。
3.5.5 在通讯机房、电子计算机房等防护区,灭火剂喷放时间不应大于90s,喷口温度不应大于150℃;在其他防护区,喷放时间不应大于120s,喷口温度不应大于180℃。
3.5.6 S型和K型热气溶胶对其他可燃物的灭火密度应经试验确定。
3.5.7 其他型热气溶胶的灭火密度应经试验确定。
3.5.8 灭火浸渍时间应符合下列规定:
1 木材、纸张、织物等固体表面火灾,应采用20min;
2
通讯机房、电子计算机房等防护区火灾及其他固体表面火灾,应采用10min。
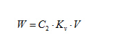
3.5.9 灭火设计用量应按下式计算:

式中 W——灭火设计用量(kg);
C2——灭火设计密度(kg/m³);
V——防护区净容积(m³);
Kv——容积修正系数。V<500m³,Kv=1.0;500m³≤V<1000m³,Kv=1.1;V≥1000m³,Kv=1.2。
条文说明
3.5 热气溶胶预制灭火系统
3.5.9 热气溶胶灭火系统由于喷放较慢,因此存在灭火剂在防护区内扩散较慢的问题。在较大的空间内,为了使灭火剂以合理的速度进行扩散,除了合理布置灭火装置外,适当增加灭火剂浓度也是比较有效的办法,所以在设计用量计算中引入了容积修正系数Kv,Kv的取值是根据试验和计算得出的。
下面举例说明热气溶胶灭火系统的设计计算:
某通讯传输站作为一单独防护区,其长、宽、高分别为5.6m、5m、3.5m,其中含建筑实体体积为23m³。
1)计算防护区净容积
V=(5.6×5×3.5)-23=75(m³)
2)计算灭火剂设计用量
依据本规范,

C2取0.13kg/m³,Kv取1,则:
W=0.13×1×75=9.75 (kg)
3) 产品规格选用
依据本规范第3.2.1条以及产品规格,选用S型气溶胶灭火装置10kg一台。
4)系统设计图
依据本规范要求配置控制器,探测器等设备后的灭火系统设计图如下:
