城镇燃气设计规范
编号:GB50028-2006
颁布时间:2006/7/12
是否常用:是
是否有效:现行有效
分类:特殊场所建筑防火
附录C 燃气管道摩擦阻力计算
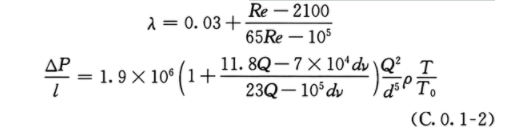
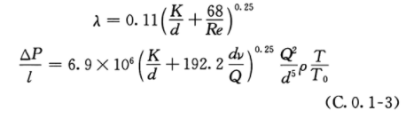
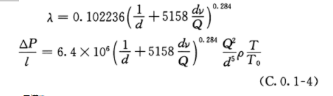
C.0.1 低压燃气管道:
根据燃气在管道中不同的运动状态,其单位长度的摩擦阻力损失采用下列各式计算:
1 层流状态:Re≤2100 λ=64/Re

2 临界状态:Re=2100~3500

3 湍流状态:Re>3500
1)钢管:

2)铸铁管:

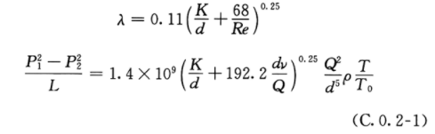
式中:Re——雷诺数;
△P——燃气管道摩擦阻力损失(Pa);
λ——燃气管道的摩擦阻力系数;
l——燃气管道的计算长度(m);
Q——燃气管道的计算流量(m³/h);
d——管道内径(mm);
ρ——燃气的密度(kg/m³)
T——设计中所采用的燃气温度(K);
T0——273.15(K)
v——0℃和101.325KPa时燃气的运动黏度(m2/s)
K——管壁内表面的当量绝对粗糙度,对钢管:输送天然气和气态液化石油气时取0.1mm;输送人工煤气时取0.15mm。
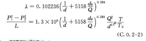
C.0.2 次高压和中压燃气管道:
根据燃气管道不同材质,其单位长度摩擦阻力损失采用下列各式计算:
1 钢管:

2 铸铁管:

式中:L——燃气管道的计算长度(km);
C.0.3 高压燃气管道的单位长度摩擦阻力损失,宜按现行的国家标准《输气管道工程设计规范》GB 50251有关规定计算。
注:除附录C所列公式外,其他计算燃气管道摩擦阻力系数(λ)的公式,当其计算结果接近本规范式(6.2.6-2)时,也可采用。