建筑钢结构防火技术规范
编号:GB51249-2017
颁布时间:2017/7/31
是否常用:是
是否有效:现行有效
分类:建筑防火
5.2
混凝土
5.2.1 高温下普通混凝土的热工参数应按下列规定确定:
1 热膨胀系数αc应为1.8×10-5m/(m•℃),密度ρc应为2300kg/m³;
2 热传导系数λc应按下式计算:

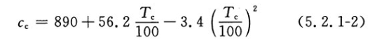
3 比热容cc应按下式计算:

式中:Tc——混凝土的温度(℃);
λc——混凝土的热传导系数[W/(m·℃)];
cc——混凝土的比热容[J/(kg·℃)]。
5.2.2 高温下普通混凝土的轴心抗压强度、弹性模量应分别按下列公式计算确定。
fcT=ηcTfc (5.2.2-1)
EcT=χcTEc (5.2.2-2)
式中:fcT——温度为Tc时混凝土的轴心抗压强度设计值(N/mm²);
fc ——常温下混凝土的轴心抗压强度设计值(N/mm²),应按现行国家标准《混凝土结构设计规范》GB
50010取值;
EcT——高温下混凝土的弹性模量(N/mm²);
Ec——常温下混凝土的弹性模量(N/mm²),应按现行国家标准《混凝土结构设计规范》GB
50010取值;
ηcT——高温下混凝土的轴心抗压强度折减系数;对于强度等级低于或等于C60的混凝土,应按表5.2.2取值;其他温度下的值,可采用线性插值方法确定;
χcT——高温下混凝土的弹性模量折减系数;对于强度等级低于或等于C60的混凝土,应按表5.2.2取值;其他温度下的值,可采用线性插值方法确定。

5.2.3
高温下轻骨料混凝土的热工性能应符合下列规定确定:
1 热膨胀系数αc应为0.8×10-5m/(m·℃),密度ρc应在1600kg/m³~2300k/m³间取值:
2 热传导系数λc应按下式计算:

3 比热容cc应为840J/(kg·℃)。
5.2.4
高温下轻骨料混凝土的轴心抗压强度和弹性模量可按本规范公式(5.2.2)计算。当轻骨料混凝土的强度等级低于或等于C60时,高温下轻骨料混凝土的轴心抗压强度折减系数ηcT、弹性模量折减系数χcT可按表5.2.4确定;其他温度下的值,可采用线性插值方法确定。

5.2.5
高温下其他类型混凝土的热工性能与力学性能,应通过试验确定。
条文说明
5.2 混凝土
5.2.1 本条有关高温下普通混凝土的热工性能参数参考了EN
1994-1-2:2005(Eurocode 4 Part 1.2,Design of composite steel and concrete
structures: Structural fire design)的规定。其中,公式(5.2.1-2)是根据EN
1994-1-2:2005给出的普通混凝土热传导系数上、下限公式取平均值得到的。对于钢与混凝土组合结构建议采用上限公式。
上限公式:

下限公式:

混凝土的含水率对热工性能的影响很大,特别是对比热和热传导系数。本条给出的热工参数取值适用于干混凝土,即含水率不大于4%的普通混凝土。
5.2.2 本条有关高温下普通混凝土的轴心抗压强度和弹性模量参考了EN
1994-1-2:2005的规定。其中,弹性模量折减系数是对EN
1994-1-2:2005中混凝土的高温应力—应变曲线计算公式求导得到的。表5.2.2适用于强度等级C60及以下的混凝土。
5.2.3 本条有关高温下轻骨料混凝土的热工性能参数参考了EN
1994-1-2:2005的规定,适用于含水率小于或等于5%的轻骨料混凝土。
5.2.4 本条有关高温下轻骨料混凝土的轴心抗压强度和弹性模量参考了EN
1994-1-2:2005的规定。表5.2.4适用于强度等级C60及以下的混凝土。