建筑钢结构防火技术规范
编号:GB51249-20178.1
钢管混凝土柱
8.1.1
符合下列条件的实心矩形和圆形钢管混凝土柱,可按本规范第8.1.2条~第8.1.9条进行耐火验算与防火保护设计。
1
钢管采用Q235、Q345、Q390和Q420钢,混凝土强度等级为C30~C80,且含钢率As/Ac为0.04~0.20;
2 柱长细比λ为10~60;
3
圆钢管混凝土柱的截面外直径为200mm~1400mm,荷载偏心率e/r为0~3.0(e为荷载偏心距,r为钢管截面外半径);矩形钢管混凝土柱的截面短边长度为200mm~1400mm,荷载偏心率e/r为0~3.0(e为荷载偏心距,r为荷载偏心方向边长的一半)。
8.1.2
钢管混凝土柱应根据其荷载比R、火灾下的承载力系数kT按下列规定采取防火保护措施。荷载比R应按本规范第8.1.3条计算,圆钢管混凝土柱、矩形钢管混凝土柱火灾下的承载力系数kT应分别按本规范第8.1.6条、第8.1.7条的规定计算,且应符合下列规定:
1
当R<0.75kT时,可不采取防火保护措施。
2
当R≥0.75kT时,应采取防火保护措施。对于圆钢管混凝土柱,按第8.1.8条计算防火保护层厚度;对于矩形钢管混凝土柱,按第8.1.9条计算防火保护层厚度。
8.1.3
钢管混凝土柱的荷载比应按下式计算:

式中:R——钢管混凝土柱的荷载比;
N——火灾下钢管混凝土柱的轴压力设计值;
N*——常温下钢管混凝土柱的抗压承载力设计值,可按本规范第8.1.4条、第8.1.5条的规定确定。
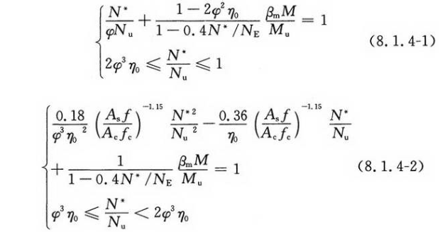
8.1.4
常温下圆钢管混凝土柱的抗压承载力设计值N*,当M/Mu≤1时,应按式(8.1.4-1)计算确定;当M/Mu>1时,应按式(8.1.4-2)计算确定:

其中:


式中:N*——常温下钢管混凝土柱的抗压承载力设计值;
M——常温下所计算构件段范围内的最不利组合下的弯矩值;
Nu——常温下轴心受压钢管混凝土短柱的抗压承载力设计值;
NE——欧拉临界力;
Mu——常温下钢管混凝土柱受纯弯时的抗弯承载力设计值;
f——常温下钢材的强度设计值;
fy——常温下钢材的屈服强度;
fc——常温下混凝土的轴心抗压强度设计值;
fck——常温下混凝土的轴心抗压强度标准值;
Ac——钢管混凝土柱中混凝土的截面面积;
As——钢管混凝土柱中钢管的截面面积;
Ec——常温下混凝土的弹性模量;
Es——常温下钢材的弹性模量;
D——截面高度,取柱截面外直径;
l0——计算长度;
Wsc——截面抗弯模量,取柱截面外直径计算;
a、b、η0——计算参数;
βm——等效弯矩系数,按现行国家标准《钢结构设计规范》GB
50017确定;
φ——轴心受压稳定系数;
λ——长细比;
λp——弹性失稳的界限长细比;
λ0——弹塑性失稳的界限长细比。
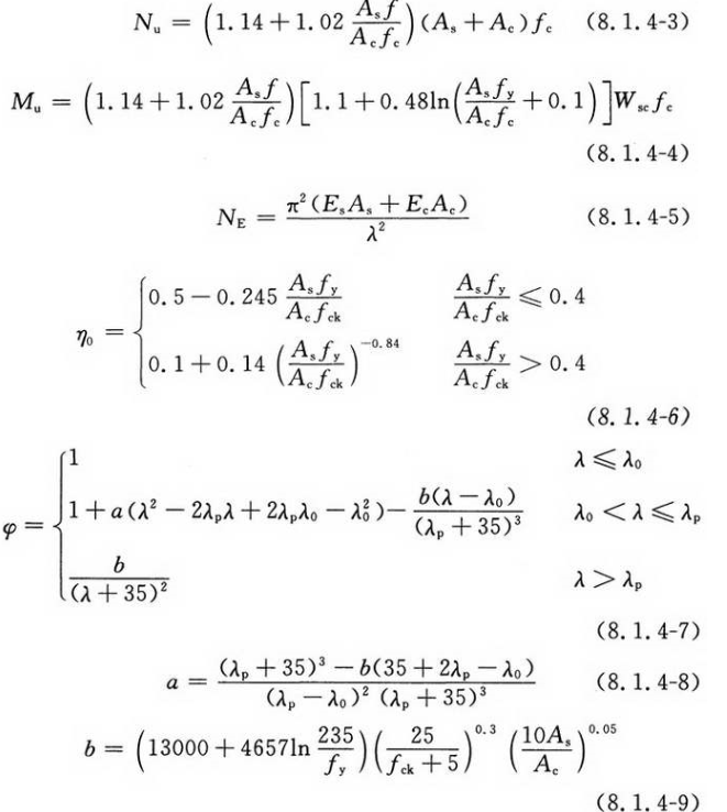
8.1.5
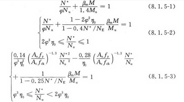
常温下矩形钢管混凝土柱的抗压承载力设计值N*,应取其平面外和平面内失稳承载力的较小值。其中,平面外失稳承载力应按式(8.1.5-1)计算确定;当M/Mu≤1时,平面内失稳承载力应按式(8.1.5-2)计算确定;当M/Mu>1时,平面内失稳承载力应按式(8.1.5-3)计算确定:

其中:


式中:D——截面高度,当弯矩作用于截面强轴方向时,取柱截面长边长度;当弯矩作用于截面弱轴方向时,取柱短边长度。
Wsc——弯矩作用平面内的截面抗弯模量,取柱截面外边尺寸计算。
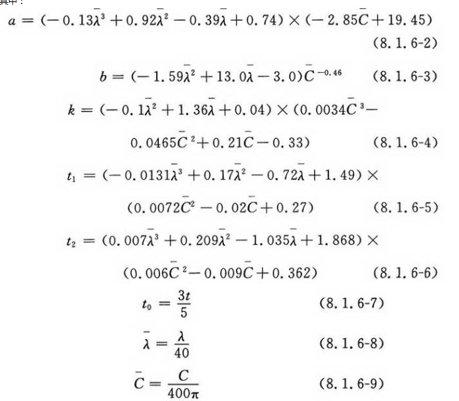
8.1.6
标准火灾下受火时间小于或等于3.0h的无防火保护圆钢管混凝土柱,其火灾下的承载力系数kT可按式(8.1.6-1)计算,也可按本规范附录B查表确定;对于非标准火灾,式(8.1.6-1)中的受火时间t应取等效曝火时间。

其中:
式中:kT——火灾下钢管混凝土柱的承载力系数;
t——受火时间(h);
C——钢管混凝土柱截面周长(mm);
λ——长细比;
a、b、k、t1、t2、t0、λ、C——计算参数。
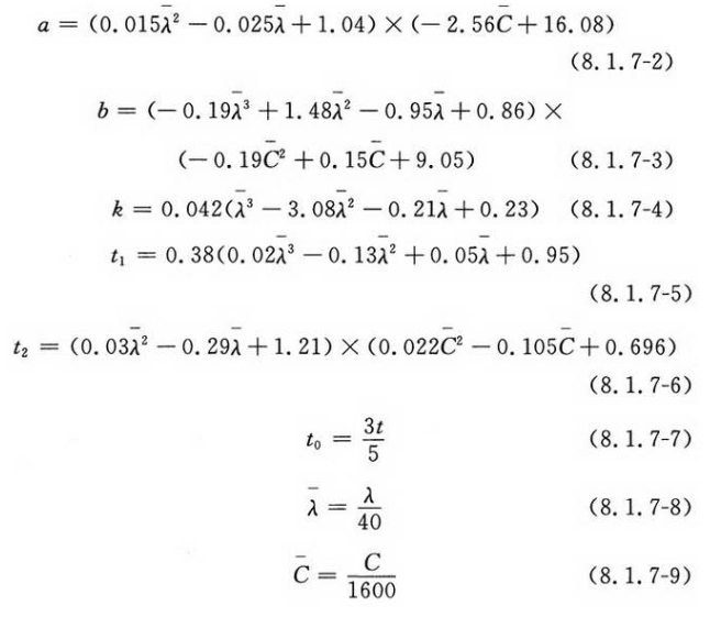
8.1.7
标准火灾下受火时间小于或等于3.0h的无防火保护矩形钢管混凝土柱,其火灾下的承载力系数kT可按式(8.1.7-1)计算,也可按本规范附录B查表确定;对于非标准火灾,式(8.1.7-1)中的受火时间t应取等效曝火时间。

其中:

式中符号含义与本规范式(8.1.6)相同。
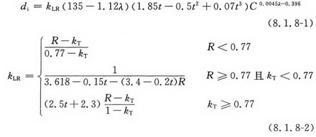
8.1.8
标准火灾下受火时间小于或等于3.0h的圆钢管混凝土柱,其防火保护层的设计厚度可按下列公式计算,也可按本规范附录C查表确定;对于非标准火灾,公式中的受火时间t应取等效曝火时间。
1
当防火保护层采用金属网抹M5水泥砂浆时,防火保护层的设计厚度应按下列公式计算:

2
当防火保护层采用非膨胀型钢结构防火涂料时,防火保护层的设计厚度应按下列公式计算:

式中:di——防火保护层厚度(mm);
kT——钢管混凝土柱火灾下的承载力系数;
R——荷载比;
t——受火时间(h);
C——钢管混凝土柱截面周长(mm);
λ——长细比;
kLR——计算参数,当计算值大于1.0时,取kLR=1.0;当计算值小于0时,取kLR=0。
8.1.9
标准火灾下受火时间小于或等于3.0h的矩形钢管混凝土柱,其防火保护层的设计厚度可按下列公式计算,也可按本规范附录C查表确定;对于非标准火灾,公式中的受火时间t应取等效曝火时间。
1
当防火保护层采用金属网抹M5水泥砂浆时,防火保护层的设计厚度可按下列公式计算:

2
当防火保护层采用非膨胀型钢结构防火涂料时,防火保护层的设计厚度可按下列公式计算:

式中符号含义与本规范式(8.1.8)相同。
8.1.10
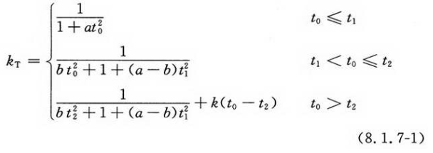
钢管混凝土柱应在每个楼层设置直径为20mm的排气孔。排气孔宜在柱与楼板相交位置的上、下方100mm处各布置1个,并应沿柱身反对称布置。当楼层高度大于6m时,应增设排气孔,且排气孔沿柱高度方向间距不宜大于6m。
条文说明
8.1 钢管混凝土柱
钢管混凝土柱是指在钢管中填充混凝土而形成且钢管及其核心混凝土能共同承受外荷载作用的结构构件。在钢管内浇灌低强度的素混凝土或轻质混凝土等,可延缓钢管的升温,提高其耐火极限,是一种防火性能稳定、耐久性能良好的防火保护方法,且不影响建筑外观。但对于这类构件,钢管和内部填充混凝土的整体共同受力性能相对较差,因此不能按本规范第8.1节规定的钢管混凝土柱耐火验算方法进行耐火验算,而应按纯钢构件进行耐火验算,其中钢管截面的温度计算应考虑内部填充材料的影响。
8.1.2
火灾下钢管混凝土柱的承载力系数kT,是指火灾下无防火保护钢管混凝土柱的抗压承载力与其常温下抗压承载力的比值。当荷载比R小于kT时,无防火保护的钢管混凝土柱在火灾下不会发生破坏;当R大于kT时,火灾下钢管混凝土柱所能提供的抗力已不足以抵抗外荷载作用,需进行防火保护。为了提高安全性,本条对不采取防火保护措施的适用条件提出了更为严格的要求,荷载比R应小于0.75
kT。
8.1.3 钢管混凝土柱的荷载比R表征受火过程中作用在柱上的荷载水平。
8.1.4、8.1.5
钢管混凝土柱中的钢管对内部混凝土具有约束作用,二者协同工作、共同受力。钢管混凝土柱轴压试验和理论分析表明,由于组合作用的存在,钢管混凝土柱的抗压承载力大于简单叠加钢管和混凝土的抗压承载力。为保证钢管和核心混凝土共同工作,当钢管混凝土构件尺寸较大(如截面外尺寸大于900mm时),宜在钢管内壁设置栓钉或纵向加劲肋。
实际工程中,钢管混凝土柱通常同时承受轴向压力和弯矩。第8.1.4条、第8.1.5条给出的常温下钢管混凝土柱的抗压承载力计算公式(8.1.4)、(8.1.5),是在试验研究及大量的数值算例分析基础上建立的。在弯矩已知的情况下,由式(8.1.4)、式(8.1.5)可求得钢管混凝土柱在该弯矩作用下所能承受的轴向压力,即抗压承载力。由于矩形钢管混凝土柱在两个主轴方向的长细比不一定相同,因此有必要进行弯矩作用平面外的稳定计算。
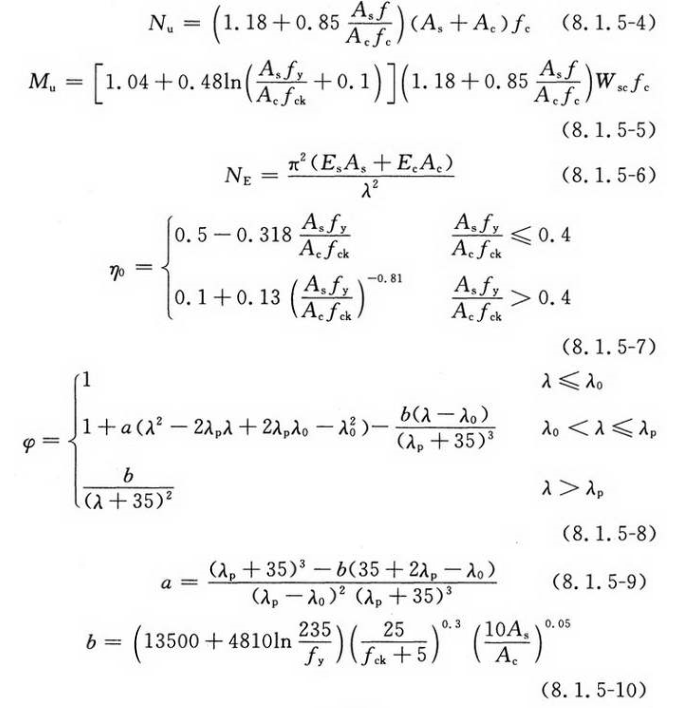
式(8.1.4)、式(8.1.5)适用于钢管混凝土柱受压破坏的情况。以下通过图示方式解释式(8.1.4)的物理意义。图13所示为压弯圆钢管混凝土柱的N* /Nu -M/Mu关系曲线,可采用直线段CD和抛物线段AC来描述:当M/Mu≤1时,直线段CD表示式(8.1.4-1);当M/Mu>1时,抛物线段AC表示式(8.1.4-2)。式(8.1.4)不适用于钢管混凝土柱受拉破坏情况,因此当N/Nu<φ3η0时,抛物线段AB用虚线表示。图中,A点为单纯受弯矩作用时的工况;B点为受拉破坏和受压破坏的临界点;C点为N* /Nu-M/Mu关系曲线变化的分界点;D点为单纯受轴心压力作用时的工况;C点与A点关于抛物线对称轴对称;E点表示计算构件段范围内的某一最不利轴向压力和弯矩组合(N,M),其对应的承受压弯作用时钢管混凝土柱的抗压承载力设计值N*如图中F点所示。

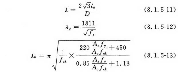
图14所示的φ-λ关系曲线分为三个阶段:当λ≤λ0时,稳定系数φ=1,为强度破坏;当λ>λp时,钢管混凝土柱为弹性失稳;当λ0<λ≤λp时,钢管混凝土柱为弹塑性失稳。

8.1.6、8.1.7
研究表明,在标准火灾作用下,影响钢管混凝土柱承载力的因素主要为受火时间、柱长细比和截面周长。为便于工程设计,对无防火保护钢管混凝土柱在标准火灾作用下的承载力系数kT进行分析,回归得到了kT计算公式(8.1.6)、(8.1.7),该公式计算结果与试验结果及有限元分析结果均较吻合。
8.1.8、8.1.9
金属网抹M5水泥砂浆防火保护、非膨胀型钢结构防火涂料防火保护是钢管混凝土柱最常用的两种防火保护方式。条文中钢管混凝土柱防火保护厚度的计算公式(8.1.8)、(8.1.9),是在试验研究的基础上,通过对大量的有限元算例计算结果进行分析、回归拟合得到的。这些有限元算例,涵盖了工程中常用的参数范围。式(8.1.8)、式(8.1.9)的计算结果与试验结果均吻合。
附录C给出了按式(8.1.8)计算的钢管混凝土柱防火保护层厚度。其中,非膨胀型防火涂料保护层的厚度是以防火涂料的热传导系数为0.10W/(m·℃)计算的,当施工采用的防火涂料的热传导系数与该值不同时,应按本规范附录A确定施工厚度。此外,按本规范第4.1节的有关规定,非膨胀型防火涂料保护层的最小厚度不应小于10mm,砂浆防火保护的最小厚度不应小于25mm。
8.1.10
火灾下钢管混凝土柱内混凝土会产生一定的水蒸气。为保证钢管和混凝土之间共同工作良好,保证结构的安全,应在钢管上设置如图15所示的排气孔。对于长柱,仅在楼层位置的钢管上设置排气孔不能保证充分排气,因此本条规定排气孔还要沿钢柱的高度方向设置,间距不宜大于6m。
