建筑钢结构防火技术规范
编号:GB51249-20176.1
火灾升温曲线
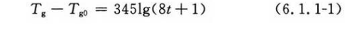
6.1.1 常见建筑的室内火灾升温曲线可按下列规定确定:
1
对于以纤维类物质为主的火灾,可按下式确定:

2 对于以烃类物质为主的火灾,可按下式确定:

式中:t——火灾持续时间(min);
Tg——火灾发展到t时刻的热烟气平均温度(℃);
Tg0——火灾前室内环境的温度(℃),可取20℃。
6.1.2
当能准确确定建筑的火灾荷载、可燃物类型及其分布、几何特征等参数时,火灾升温曲线可按其他有可靠依据的火灾模型确定。
6.1.3
当实际火灾升温曲线不同于标准火灾升温曲线时,钢结构在实际火灾作用下的等效曝火时间te可按实际火灾升温曲线、时间轴、时刻t直线三者所围成的面积与标准火灾升温曲线、时间轴、时刻te直线三者所围成的面积相等的原则经计算确定。
条文说明
6.1 火灾升温曲线
6.1.1 本条规定了钢结构耐火验算与防火设计采用的火灾升温曲线。
建筑火灾一般是从建筑内部的某一空间起火开始而造成的结果,通常可分为火灾初期增长阶段、全盛阶段、衰退阶段三个阶段。火灾的发展过程及其严重程度,取决于室内可燃物的燃烧性能、数量及分布情况(火荷载密度)以及着火房间的大小、形状、通风状况等因素。图6为一般室内火灾、高大空间火灾这两种典型的建筑火灾着火空间的环境温度升温曲线的比较。

一般,室内火灾在初期增长阶段、全盛阶段之间有一个标志着火灾发生质变的现象——轰燃现象(图7)。这时室内所有可燃物都将着火燃烧,环境温度急剧升高,危及结构安全。轰燃现象是一般室内火灾过程中一个非常重要的现象,持续时间很短。
实际火灾升温曲线具有多样性,为了统一和便于比较,许多国家和组织制定了标准火灾升温曲线,用于构件耐火试验以评定构件的耐火极限。为了使钢结构耐火验算与标准耐火试验一致,因此本规范规定采用标准耐火试验的炉内升温曲线作为钢结构耐火验算的火灾升温曲线。

式(6.1.1-1)所规定的标准火灾升温曲线是现行国家标准《建筑构件耐火试验方法
第1部分:通用要求》GB/T 9978.1所采用的升温曲线,该曲线和国际标准ISO
834-1:1999所采用的标准火灾升温曲线相同,适用于以纤维类火灾为主的建筑,其可燃物主要为一般可燃物,如木材、纸张、棉花、布匹、衣物等,可混有少量塑料或合成材料。
式(6.1.1-2)所规定的升温曲线称为碳氢(HC)升温曲线,适用于可燃物以烃类材料为主的场所,如石油化工建筑及生产、存放烃类材料、产品的厂房等。
图8为标准火灾升温曲线与碳氢(HC)升温曲线的比较。

6.1.2
采用标准火灾升温曲线给结构防火设计带来了很大的方便,但是标准火灾升温曲线有时与实际火灾(如高大空间火灾)相差甚大。为了更好地反映实际火灾对结构的破坏程度,在能确定建筑物室内的有关参数以及火荷载的情况下,欧洲规范EC3
EN 1993-1-2、英国规范BS 5950:Part
8等均允许结构防火设计采用实际火灾升温曲线。近年来提出的性能化防火设计方法(Performance-Based Design
Method),则更是要求在设计时应采用能反映实际火灾特性的升温曲线。因此,本条规定:当能准确确定建筑的火灾荷载、可燃物类型及其分布、几何特征等参数时,建筑内着火空间的环境温度也可按其他有可靠依据的火灾模型计算。
必须指出的是,高大空间火灾着火空间的环境温度不一定很高,但是火灾区域及邻近的构件,还应考虑可能被火焰吞没、火焰辐射对其升温的影响。建筑内的高大空间大体可分为以下两类:
(1)
占地面积相当大且具有一定高度的大体积型建筑。如:会堂、展览馆、剧院、体育馆、候车厅和大型仓库等,其面积通常有几百至几千平方米,高度一般在8m~20m之间;
(2)
具有一定的占地面积,但空间相当高的细高型建筑。如:高层建筑的中庭,其面积为几十至几百平方米,高度则有十几米至百米。
6.1.3
本规范第2.1.8条给出了等效曝火时间的定义(见图9),本条给出了确定等效曝火时间的方法,该方法基于火灾释放热量相等的原则。该方法考虑了火灾持续时间的影响,但火灾时从热烟气传递到构件的热量与热烟气和构件的温度差有关,因此当实际火灾升温曲线与标准火灾升温曲线差别很大时,该方法存在较大的误差。

为简化计算,数值积分法计算面积时,时间间隔可取1min,按下式确定等效曝火时间。

式中:Tg,i——由式(6.1.1-1)确定的标准火灾升温曲线中i时刻(min)的热烟气平均温度(℃);
T′g,j——实际火灾升温曲线中j时刻(min)的热烟气平均温度(℃);
t′——实际火灾作用时间(min);
te——等效曝火时间(min)。