民用建筑电气设计标准
编号:GB51348-2019
颁布时间:2019/11/22
是否常用:是
是否有效:现行有效
分类:建筑防火
24.2
供配电系统节能设计
24.2.1
供配电系统应满足使用功能和系统可靠性要求,并应进行技术经济比较,采用节能的供配电系统。
24.2.2
变电所宜设在负荷中心或大功率的用电设备处,缩短供电半径,并应符合下列规定:
1
建筑电气设计应合理确定配电系统的电压等级,减少变压级数,用户用电负荷容量大于250kW 时,宜采用高压供电。
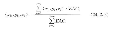
2 负荷中心应按下式计算:

式中:(xb,yb,zb )——负荷中心坐标;
(xi,yi,zi)——各用电设备的坐标;
EACi ——各用电设备估算的年电能消耗量(kWh)或计算负荷(kW)。
3
当建筑物内有多个负荷中心时,应进行技术经济比较,合理设置变电所。
4
冷水机组、冷冻水泵等容量较大的季节性负荷应采用专用变压器供电。
24.2.3 单相负荷较多的供配电系统,宜符合下列规定:
1
单相负荷应均匀分布在三相系统上,三相负荷的不平衡度宜小于15%;
2
变电所集中设置的无功补偿装置宜采用部分分相无功自动补偿装置。
24.2.4 变压器的选择除应符合本标准第24.1.4
条规定外,还应使变压器工作在经济运行范围内。
24.2.5
在采取提高自然功率因数措施的基础上,在负荷侧应设置集中与就地无功补偿设备,补偿后的功率因数应符合本标准第3.6.4 条的规定,并应符合下列规定:
1
功率因数较低的大功率用电设备,且远离变电所时,应就地设置无功功率补偿;
2 安装无功补偿设备不得过补偿。
24.2.6
大型用电设备、大型晶闸管调光设备等应就地设置谐波抑制装置。
24.2.7
用电设备的冲击负荷及波动负荷引起电网电压波动、闪变时,应采取限制冲击负荷及波动负荷的措施。
24.2.8 电缆的选择除应符合本标准第7
章相关规定外,尚宜根据经济电流密度选择长寿命周期电缆,降低运营成本。
条文说明
24.2.1
本条给出了供配电系统节能设计的原则,即在确保使用功能、系统可靠性的前提下选择节能的系统,也就是节能不能影响正常的使用功能。
技术经济比较是节能设计的关键,没有良好的经济性,节能是没有意义的。
24.2.2 第1款
建筑物的配变电所为末端的用户站,变压的级数一般不超过二级,多一级变电意味着设备投资的增加,也意味着变电过程中能耗的增多。如果是10kV电源,一般只有一级变电;如果是35kV电源,有可能存在35kV/10kV、10kV/0.4kV二级变电,也有可能35kV直降到0.4kV一级变电;如果是110kV电源进线,则存在二级变电。
第2款 根据《Ed 1.0 Low voltage electrical
installation Part 8-1:Energy efficiency》IEC 60364-8-1编制而成。
第3款
强调技术经济比较合理配置变压器或配变电所。对于城市综合体建筑、建筑群、超高层建筑等,由于建筑规模大、功能多样、建筑高度高,往往存在多个负荷中心,建议按照建筑使用功能、业态、大负荷情况、物业管理、避难层/设备层等设置配变电所。
第4款、第5款 是对季节性负荷、临时性负荷的要求。
24.2.3
本条根据《评价企业合理用电技术导则》GB/T3485-1998编制。
24.2.4《Ed 1.0 Low voltage electrical
installation Part 8-1:Energy efficiency》IEC
60364-8-1认为,当变压器的铜损等于铁损时,变压器效率最高,此时变压器的负载系数宜为40%~65%。
《电力变压器经济运行》GB/T13462-2008规定,对双绕组变压器而言,变压器最佳经济运行区间1.33β2JZ~0.75。其中βJZ为变压器综合功率经济负载系数。
24.2.6 谐波抑制措施参见现行国家标准《建筑电气工程电磁兼容技术规范》GB
51204的相关规定。
24.2.7
采取的措施参见本标准第3.4.5条的规定,主要措施有:
1 采用专线供电;
2 与其他负荷共用配电线路时,宜降低配电线路阻抗;
3
较大功率的冲击性负荷、冲击性负荷群与对电压波动、闪变敏感的负荷,宜由不同变压器供电;
4 采用动态无功补偿装置或动态电压调节装置。
《电能质量 电压波动和闪变》GB/T
12326-2008是对公共电网连接点PCC处的电压波动和闪变作出的要求。
24.2.8 本条根据《Ed 1.0 Low voltage electrical
installation Part 8-1:Energy efficiency》IEC 60364-8-1标准编制。
另外,《额定电压0.6/1kV双层共挤绝缘辐照交联无卤低烟阻燃电力电缆》JG/T
442-2014和《额定电压450/750V及以下双层共挤绝缘辐照交联无卤低烟阻燃电线》JG/T
4412014两项标准已经颁布实施,电线电缆寿命由25年左右延长到70年,达到节材和节省生产、运输等过程中的能耗和成本。电缆的寿命需与建筑物设计使用寿命、为其供电的设备寿命、二次装修的周期、业态变换周期等因素相匹配。