民用建筑电气设计标准
编号:GB51348-2019
颁布时间:2019/11/22
是否常用:是
是否有效:现行有效
分类:建筑防火
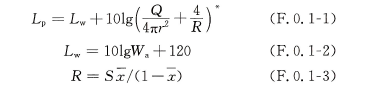
附录F
声压级及扬声器所需功率计算

式中:Lp——室内距声源为r的某点声压级(dB);
Lw——声源的功率级(dB);
R——房间常数;
Wa——声源声功率(W);
r——声源距测点的距离(m);
S——室内总表面积(m2);
——平均吸声系数;Q——声源的指向性因数,参见表F.0.1。
注:*仅适用于室内声场分布均匀的情况。

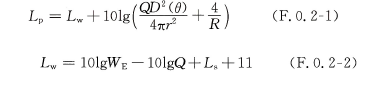
F.0.2 扬声器声压及功率计算:
1 扬声器声场的声压级Lp:

式中:Lw——扬声器的声级功率(dB);
WE——输入扬声器的电功率(W);
Ls——扬声器特性灵敏度级(dB);
D(θ)——扬声器θ方向的指向性系数;
Q——扬声器指向性因数;
r——测点到扬声器的距离(m);
R——房间常数。
2
扬声器最远供声距离rm:

式中:re——临界距离(m);
Q——扬声器指向性因数;
R——房间常数;
D(θ)——扬声器0方向的指向性系数。
F.0.3
扬声器所需功率应按下式计算:

式中:Lp——根据需要所选定的最大声压级(dB);
Ls——扬声器特性灵敏度级(dB);
WE——扬声器的电功率(W);
r——测点到扬声器的距离(m)。