气体消防系统选用、安装与建筑灭火器配置
编号:GJBT-1009
颁布时间:2007/6/1
是否常用:是
是否有效:现行有效
分类:消防设施
三氟甲烷灭火系统设计计算举例
某多层建筑物内有一计算机房长30m、宽12m、净高3.2m,设计室内环境温度25℃~27℃,工程所在地海拔标高1085m,拟采用三氟甲烷灭火系统。
1.确定系统设计主要技术参数:
该建筑仅计算机房一个防护区,设计采用三氟甲烷单元独立全淹没灭火系统。
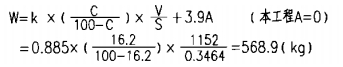
灭火设计浓度
C=16.2%
防护区最低环境温度 T=25℃
防护区海拔高度修正系数
K=0.885(详见本图集总说明第8.8.5)
防护区围护结构承受内压的允许压强 Pf=2400Pa
三氟甲烷气体灭火剂充装密度 860kg/m3(4.2MPa,20℃时)
灭火剂设计喷放时间 t=10s
灭火浸渍时间
3min
2.防护区面积(F)、容积(V)计算:

3.三氟甲烷灭火设计用量计算:
防护区最低环境温度T=25℃时三氟甲烷的蒸汽比容

防护区灭火设计用量:

4.三氟甲烷灭火剂储存量及储瓶数量计算:
根据本图集三氟甲烷灭火系统储存装置技术参数,选用70L储气瓶,每瓶最大充装量为60kg,喷放剩余量3kg,不计均衡管网内的剩余量,则系统灭火剂的储瓶数n=568.9÷(60-3)=9.98(瓶)。
设计采用10个储气瓶,双排钢瓶储存装置。灭火剂实际储存量为600kg。
5.防护区喷嘴布置及喷嘴平均设计流量计算:
根据本图集喷嘴布置有关参数,喷嘴布置间距采用6m,喷嘴至墙面的距离采用3m,防护区共需布置喷嘴10个。如图1所示。
单个喷嘴的设计流量:

6.灭火剂输送干管平均设计流量计算及干管管径的确定:
根据本图集 “三氟甲烷灭火系统说明”第2.6表中数据选用DN100灭火剂输送干管。7.
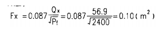
防护区泄压口设置:
泄压面积

选用本图集柜式(无管网)预制灭火系统说明中的FXY-II型自动泄压阀2合,实际泄压面积为0.154m2。
8.
储瓶阀平面布置:
根据本图集三氟甲烷灭火系统说明三氟甲烷双排钢瓶储存装置有关数据,70L单排瓶数为5瓶的双排储瓶储存装置外形尺寸为:L=1645~1740,B=650~800,h=2020~2150。布置如图2所示。
储瓶间净高要求:有梁时,梁底高度不宜低于2.5m;无梁时,板底高度不宜低于2.8m。储存装置总重量约3185kg。

9.最高使用环境温度下灭火剂浓度核算:
经核算,在最高使用环境温度27℃时的灭火剂浓度为16.67%,符合本图集“三氟甲烷灭火系统说明”第1.1.4不应大于23.8%的要求。